3.0 2D Method of Characteristics Tool

본 연구에서 개발된 2D MOC 도구는 GUI 기반의 Windows 소프트웨어로, 다양한 사용자 입력을 바탕으로 평면 및 축대칭 노즐 설계를 생성할 수 있습니다. 생성된 노즐 설계는 이상 기체, 비점성 노즐 해석 알고리즘을 기반으로 합니다. 그림은 메인 GUI 창을 보여줍니다. 이 메인 창에는 8가지 유형의 입력이 있습니다. 다음에서는 이러한 입력과 구현 방법을 설명합니다.
다양한 입력값을 다루기 전에, 일반적인 2D MOC 솔루션에 대한 개요를 먼저 살펴보겠습니다. 그림 3은 노즐 설계의 여러 요소를 정의하는 개략도입니다. 이 도구에 구현된 2D MOC 알고리즘은 점 E에서 주어진 출구 매개변수(마하수, 압력비, 면적비 등)에 도달할 때까지 초기 노즐 팽창 각도 θ_B를 반복적으로 조정하는 방식입니다. RDown*θ_B로 계산되는 호(TB)는 노즐의 초기 팽창 영역을 정의합니다. 점 B 하류에서 노즐 윤곽은 유동을 노즐 중심선 방향으로 되돌리기 시작합니다.

MOC 솔루션은 초기 데이터 라인(그림 3의 TT')을 생성하는 것으로 시작합니다. 이 라인을 따라 형상과 유동 특성을 결정하는 데 사용할 수 있는 여러 가지 방법이 있으며, 이건 나중에 논의됩니다. 현재로서는 이 라인에 대해 알아야 할 중요한 사항은 다음과 같습니다. (1) 라인을 따라 모든 지점에서 유동 특성을 알 수 있습니다. (2) 모든 지점에서 유동은 초음속입니다. 그림 4는 초기 데이터 라인과 노즐의 초기 팽창 영역의 예를 보여줍니다.

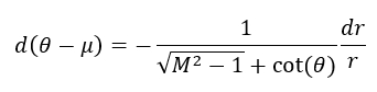
점 (1,0)에서 시작하여 좌측 특성선(LRC)을 따라 흐르는 유동의 특성은 유한차분법을 이용하여 해당 특성선을 따라 흐르는 유동에 대한 지배 방정식을 풀어 구합니다. 이때 사용되는 방정식은 적합성 방정식이라고 하며 다음과 같이 정의됩니다.


점 (0,1)은 계산된 LRC와 노즐 벽의 교점에서 찾아냅니다. 노즐 벽은 z = 0 지점을 중심으로 하는 주어진 반지름(R_DOWN)의 호로 정의됩니다. 벽에서 유동각 θ는 벽각과 같습니다.
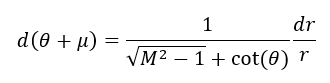
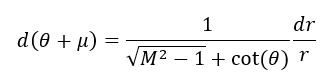
점 (0,1)에서 다음 방정식에 따라 우측 진행 특성(RRC)이 생성됩니다.

점 (1,1)은 RRC와 점 (2,0)에서 새로 계산된 LRC의 교점입니다. 위의 방정식은 축대칭 노즐 유형을 기반으로 합니다. 평면 노즐에 대해 풀면 방정식이 단순화되지만 과정은 동일합니다. 이 과정은 점 B까지 모든 특성 교점에 대해 계속됩니다. 점 B의 위치는 θ_B로 정의된 초기 팽창 영역의 마지막 점으로 정의됩니다. 2D 솔루션이므로 노즐 중심선이 대칭축 역할을 합니다. 결과적인 특성 메쉬(TBFT') 는 다음 그림 5과 같습니다. 점 F는 B에서 시작하는 RRC를 따라 있는 중심선상의 점입니다.

이 커널이 발견되면 두 번째 반복을 시작하여 커널 BF의 마지막 RRC 상에 있는 점 D를 결정합니다. 주어진 점 D에 대해 BD를 통과하는 질량 유량을 구합니다. 그런 다음 D에서 미지의 점 E까지 LRC를 구성하는데, 이때 BD를 통과하는 알려진 질량 유량은 DE를 통과하는 계산된 질량 유량과 같습니다. 이상적인 노즐의 경우 DE를 따라 물성이 균일하므로 점 E를 비교적 쉽게 찾을 수 있습니다. 다른 유형의 노즐의 경우, 적합성 방정식에 정의된 dM/dr 및 dθ/dr과 다음과 같이 정의된 dx/dr을 적분하는 Runge Kutta Fehlberg 방법을 사용하여 E의 위치와 DE를 따라 특성을 구합니다.

점 E가 발견되면, 이 점을 노즐 벽 출구점으로 설정합니다. 점 E에서의 특성은 주어진 설계 제약 조건(노즐 유형 및 설계 매개변수)과 비교됩니다. 값이 일치하면 B에서 E까지의 유선이 계산되고 노즐 윤곽이 결정됩니다. 이 유선은 DE에서 DE 상류 영역까지의 RRC를 역산하여 결정됩니다. 그림은 이를 도식적으로 보여줍니다.

점 E의 특성이 일치하지 않으면, D와 최종적으로 θ_B에 대해 특성이 일치할 때까지 반복 계산을 수행합니다. 모든 방정식과 제약 조건을 만족하는 θ_B와 D의 조합은 오직 하나뿐입니다.
| 복잡한 노즐 개발을 위한 2D 특성 곡선법 (4) (0) | 2025.12.23 |
|---|---|
| 복잡한 노즐 개발을 위한 2D 특성 곡선법 (3) (0) | 2025.12.23 |
| 복잡한 노즐 개발을 위한 2D 특성 곡선법 (1) (0) | 2025.12.23 |
| [MIL-HDBK-1211] MISSILE FLIGHT SIMULATION (0) | 2025.12.16 |
| [우주로켓] 우주선의 궤도는? (2) | 2024.05.31 |