반응형

해석 결과가 합리적이라는 첫 번째 기준은 운동 에너지가 내부 에너지와 비교하여 작다는 것이다. 가장 심각한 조건(시험 1)조차도 이 기준이 충족되는 것으로 나타났다. 매끄러운 스텝 시간 변화 곡선을 추가하면 운동 에너지의 진동이 감소하여 만족스러운 준정역학 응답이 얻어졌다.

 

운동 에너지와 내부 에너지의 시간 이력이 적절하고 합리적이어야 한다는 추가 요구 사항은 매우 효과적이며 필수적이지만 결과 평가는 더 주관적이다. 이런 요구 사항은 성형 공정의 거동에 대해 어느 정도 직관적인 이해가 필요하므로 일반적으로 더 복잡한 성형 공정에 이런 요구 사항을 적용하기는 어렵다.

 

성형 해석에 준정역학 해가 적당하다는 것이 밝혀졌기 때문에, 다른 몇 가지 주목할 만한 결과를 조사할 수 있다. 다음 그림은 Abaqus/StandardAbaqus/Explicit에서 얻은 블랭크의 Mises 응력의 비교이다.

 

Abaqus/Standard(왼쪽)과 Abaqus/Explicit(오른쪽)에서 채널 성형 해석의 Mises 응력의 등고선 표시

 

이 표시는 Abaqus/StandardAbaqus/Explicit 해석의 각 피크 응력이 서로 1% 이내라는 것을 나타내며 블랭크의 전반적인 응력 등고선이 매우 유사하다는 것을 알 수 있다. 이런 준정역학 해석 결과의 타당성을 추가로 조사하려면, 이들 두 해석의 등가 소성 변형룰의 결과와 최종 변형 형상을 각각 비교해야 한다.

 

다음 그림은 블랭크의 등가 소성 변형률의 등고선 표시이다.

 

Abaqus/Standard(왼쪽)과 Abaqus/Explicit(오른쪽)에서 채널 성형 해석을 위한 PEEQ 윤곽 표시

 

다음 그림은 두 가지 해석으로 예측된 최종 변형 모양이다.

 

Abaqus/Standard와 Abaqus/Explicit 성형 해석의 최종 변형 형상

 

Abaqus/StandardAbaqus/Explicit의 해석에 대한 등가 소성 변형률의 결과는 서로 5% 이내이다. 또한 최종 변형 모양의 비교는 외연적 준정역학 해석 결과가 Abaqus/Standard 정역학 해석 결과와 매우 일치한다는 것을 보여준다.

 

또한 Abaqus/StandardAbaqus/Explicit의 해석에서 예측된 정상적인 펀치 힘을 비교해야 한다.

 

펀치의 힘-변위 기록을 비교하려면 다음과 같이 설정한다.

 

1. Abaqus/Standard 해석에서 얻은 펀치 변위(U2)와 반력(RF2)의 이력 데이터를 각각 U2-stdRF2-std로 저장한다.

 

2. 마찬가지로 Abaqus/Explicit 해석에서 얻은 펀치 변위(U2)와 반력(RF2)의 이력 데이터를 각각 U2-xplRF2-xpl로 저장한다. 그다음 저장된 X-Y 데이터를 계산하여 힘-변위 곡선을 만든다. -변위 표시에서 펀치의 하향 운동이 양의 값을 나타내도록 지정한다. 따라서 힘-변위 곡선을 만들 때 변위 이력 데이터 앞에 음수 기호를 추가한다. 이렇게 하면 음의 두 번째 방향의 움직임이 양수가 된다.

 

3. 결과 트리에서 XYData를 두 번 클릭한다. 그다음 Create XY Data 대화 상자에서 Operate on XY data를 선택한다. Continue를 클릭한다.

 

4. Operate on XY data 대화 상자에서 Abaqus/Standard 해석에서 얻은 힘과 변위 이력 데이터를 결합하여 힘-변위 곡선을 만든다. 대화 상자 상단에 산술식이 다음과 같이 표시된다.

 

combine( -"U2-std", "RF2-std" )

 

5. Save As를 클릭하여 계산된 변위 곡선을 forceDisp-std로 저장한다.

 

6. Operate on XY data 대화 상자에서 Abaqus/Explicit 해석에서 얻은 힘과 변위 이력 데이터를 결합하여 힘-변위 곡선을 만든다. 대화 상자 상단에 산술식이 다음과 같이 표시된다.

 

combine( -"U2-xpl", "RF2-xpl" )

 

7. Save As를 클릭하여 계산된 변위 곡선을 forceDisp-xpl로 저장한다.

 

8. 뷰포트에서 forceDisp-stdforceDisp-xpl을 표시한다.

 

Abaqus/Standard가 진정한 정적 평형을 풀고 있지만, Abaqus/Explicit는 준정역학 응답을 해석하기 때문에 Abaqus/Explicit의 결과는 Abaqus/Standard의 결과에 비해 노이즈가 꽤 많다. Abaqus/Explicit 이력 데이터의 일부 노이즈는 출력 요청에 지정된 내장된 anti-aliasing 필터로 해석 중에 제거된다. 여기서 Abaqus/CAEX-Y 데이터 필터를 사용하여 Abaqus/Explicit의 힘-변위 곡선에서 솔루션의 노이즈를 추가로 제거한다. Abaqus/CAE X-Y 데이터 필터는 시간을 X값으로 사용하는 X-Y 데이터만 적용된다. 이렇게 하면 필터의 컷오프 주파수의 의미를 혼동시키지 않고 필터를 적용하기 전에 내부적으로 수행되는 데이터 조정 문제가 발생하지 않는다. 따라서 forceDisp-xpl을 직접 필터링하는 대신 U2-xplRF2-xpl을 개별적으로 필터링한 다음 결합하여 새로운 힘-변위 곡선을 만든다. 결합된 두 개의 X-Y 데이터 객체는 모두 같은 필터링(해석과 후처리시 모두)을 적용하는 것이 좋다. 이렇게 하면 필터링으로 인한 왜곡(: 시간 지연)이 결합 데이터에 균일하게 적용된다.

 

9. Operate on XY data 대화 상자에서 컷오프 주파수가 1100HzButterworth 필터를 사용하여 힘의 이력 데이터를 필터링한다. 대화 상자 상단에 산술식이 다음과 같이 표시된다.

 

butterworthFilter(xyData="RF2-xpl",cutoffFrequency=1100)

 

필터의 적절한 차단 주파수를 선택하려면 엔지니어링 결정과 모델링을 위한 물리적 시스템에 대한 충분한 이해가 필요하다. 가끔 반복 방법을 사용하여(처음에는 상당히 높은 컷오프 주파수를 사용하고 점진적으로 감소) 물리적 해에 대한 왜곡을 최소화하면서 해의 노이즈 제거할 컷오프 주파수를 찾는다. 적절한 컷오프 주파수를 결정하기 위해 시스템의 고유 진동수에 대한 지식도 도움이 된다. 이 예제의 경우 고유치 추출 해석을 수행하여 변형 전 블랭크의 기본 진동수를 결정했다(140Hz). 그러나 성형 단계가 끝나면 블랭크는 상당한 기본 진동수를 가진다. 최종 모델 배치에서 고유치 추출 해석을 수행하면 성형 단계가 끝날 때 기본 진동수가 약 1,000Hz가 되는 것을 알 수 있다. 따라서 이 모델은 이 값보다 약간 큰 컷오프 주파수를 선택하는 것이 적절하다.

 

10. Save As를 클릭하여 계산된 변위 곡선을 RF2-xpl-bw1100으로 저장한다.

 

11. 마찬가지로 컷오프 주파수가 1,100HzButterworth 필터를 사용하여 변위 이력 데이터를 필터링한다. Operate on XY data 대화 상자의 맨 위에 산술식이 표시된다.

 

butterworthFilter(xyData="U2-xpl",cutoffFrequency=1100)

 

12. Save As를 클릭하여 계산된 변위 곡선을 U2-xpl-bw1100으로 저장한다.

 

13. Abaqus/Explicit의 필터링된 힘과 변위의 시간 기록을 결합한다. Operate on XY data 대화 상자의 맨 위에 산술식이 표시된다.

 

combine( -"U2-xpl-bw1100", "RF2-xpl-bw1100" )

 

14. Save As를 클릭하여 계산된 변위 곡선을 forceDisp-xpl-bw1100으로 저장한다.

 

15. forceDisp-xpl-bw1100forceDisp-stdforceDisp-xpl 표시에 추가한다. 표시 방법을 사용자 정의하고 그림 13.17과 같이 표시한다.

 

Abaqus/Standard와 Abaqus/Explicit에 대한 정상 펀치 힘 비교

 

위 그림과 같이 Abaqus/Explicit이 예측한 정상 펀치 힘은 Abaqus/Standard가 예측한 값보다 약 12% 더 크다.

 

Abaqus/StandardAbaqus/Explicit의 결과 차이는 주로 두 가지 요인 때문이다. 첫 번째는 Abaqus/Explicit을 사용하여 재료 데이터를 조정하는 것이다. 두 번째는 이 두 제품 사이의 마찰 효과를 처리하는 방법의 약간의 차이다. Abaqus/Standard는 페널티 방법에 따른 마찰을 사용하는 반면, Abaqus/Explicit는 운동학적 마찰을 사용한다.

 

이런 비교에서 Abaqus/StandardAbaqus/Explicit 모두에서 이런 복잡한 접촉 해석을 처리할 수 있다는 것이 분명하다.

 

그러나 이 종류의 해석은 Abaqus/Explicit에서 수행할 때 몇 가지 이점이 있다. Abaqus/Explicit는 복잡한 접촉 조건을 더 쉽게 처리할 수 있다. 그러나 준정역학 해석을 위해 Abaqus/Explicit을 선택하면 적절한 하중 속도로 수렴할 때까지 해석을 반복해야 할 수 있다. 하중 속도를 결정할 때는 빠른 하중 속도로 시작하여 필요에 따라 하중 속도를 줄이는 것이 좋다. 이것은 해석 실행 시간을 최적화할 때 효과적이다.

반응형
반응형

 

이 예제는 발포 재료의 보호 포장재에 둘러싸인 회로 기판이 일정 각도로 강체 표면에 낙하했을 때의 거동을 조사한다. 이 시험의 목적은 회로 기판이 1 m 높이에서 떨어지면 발포 포장재가 회로 기판 손상을 방지할 수 있는지 평가하는 것이다. Abaqus/Explicit의 일반 접촉 기능을 사용하여 구성품 사이의 상호 작용을 입력한다. 다음 그림은 회로 기판과 발포 포장재의 mm 단위의 치수와 재료 특성을 보여준다.

그림. 회로 기판의 치수와 재료 특성

 

1) 전처리

포장재, 회로 기판, 바닥을 표현하는 세 부분을 만든다. 기판의 각 칩(Chip)은 이산화 집중 질량을 사용하여 표현한다. 또한 파트 Instance와 중앙 질량을 배치하는 데 도움이 되는 여러 데이텀 포인트를 만든다.

 

포장재의 형상을 정의하려면 다음과 같이 설정한다.

 

1. 포장 재료는 3차원 Solid 구조이다. 돌출 Solid의 기본 기능으로 포장재를 표현하는 3차원 변형체 파트를 만든다. 이 부분에는 Packaging이라는 이름을 입력한다. 파트의 근사 크기에 0.1을 사용하고 단면 모양으로 0.02×0.024 m의 직사각형을 스케치한다. 돌출 깊이에 0.11 m를 지정한다.

 

2. 메뉴 바에서 Shape → Cut → Extrude를 선택하여 회로 기판이 들어있는 포장재의 홈을 만든다. 돌출 절단용 평면으로 포장재의 왼쪽 가장자리를 선택한다. 포장재 단면 모양의 수직선을 선택하여 스케치 평면의 오른쪽에 수직선을 만든다. Sketcher에서 수직 기준선 도구를 사용하여 포장재의 중심을 통과하는 수직 기준선을 만든다. 이 기준선에 고정 구속조건을 적용한다. 다음 그림과 같이 절단의 단면 모양을 스케치한다. 대칭 구속조건을 사용하여 절단 단면 형상의 중심을 기준선으로 만들고, 절단 단면 형상이 0.002 m 폭이고, 포장재에 0.012 m의 거리로 들어가도록 각 치수를 편집한다. 스케치가 완료되면 나타나는 Edit Cut Extrusion 대화 상자에서 끝 조건에 관통을 선택하고, 포장재 내부의 컷을 나타내는 화살표 방향을 선택한다.

그림. 포장재의 절단 단면 형상(그리드 간격 2배)

 

3. 다음 그림과 같이 홈 하단의 중심에 데이텀 포인트를 만든다. 이 지점은 포장재에 상대적으로 기판을 배치하는 데 사용한다. 메뉴에서 Tools → Datum을 선택한다. Create Datum 대화 상자가 나타난다. 데이텀 종류에는 기본 선택인 Point를 그대로 사용하고 방법에 Midway between 2 points를 선택한다. 데이텀 포인트가 생성되는 두 개의 포인트가 되도록 그루브의 양쪽 끝에 밑면의 중심에 있는 두 개의 포인트를 선택한다. 다음 그림과 같이 데이텀 포인트가 생성된다.

그림. 포장재 홈의 중심에 있는 데이텀 포인트

 

회로 기판의 형상을 정의하려면 다음과 같이 설정한다.

 

1. 회로 기판은 칩이 있는 얇은 평판으로 만들 수 있다. 3차원 변형 평면 Shell을 만들고 회로 기판을 표현하고, 파트에 Board라는 이름을 입력한다. 파트의 근사 크기에 0.5를 사용하고, 단면 모양으로 0.100 m × 0.150 m의 직사각형을 스케치한다.

 

2. 다음 그림에 표시된 세 개의 데이텀 포인트를 만든다. 이 포인트를 사용하여 기판에 칩을 배치한다. 괄호 안의 숫자는 회로 기판의 왼쪽 아래 모서리에 원점이 있는 로컬 좌표계를 바탕으로 한 미터 단위의 (x, y) 좌표이다. 메뉴에서 Tools → Datum을 선택하면, Create Datum 대화 상자가 나타난다. 데이텀 종류에는 기본 선택인 Point를 그대로 사용하고 방법으로 Offset from point를 선택한다. 오프셋의 시작점으로 기판의 왼쪽 아래 모서리를 선택하고, 그림에 표시된 점 중 하나의 좌표를 입력한다. 단계 c를 반복하여 나머지 두 개의 데이텀 포인트를 만든다.

그림. 기판에서 칩의 상대 위치를 나타내는 데이텀 포인트

 

바닥을 정의하려면 다음과 같이 설정한다.

 

1. 회로 기판이 충돌하는 표면은 실질적으로 강하다. 3차원 이산화 강체 평면 Shell을 만들어서 바닥을 표현하고, 파트에 Floor라는 이름을 입력한다. 파트의 근사 크기에 0.5를 사용한다. 이 강체 표면은 변형이 가장자리에서 떨어지지 않도록 충분히 커야 한다.

 

2. 단면 형상으로 0.2 m × 0.2 m의 정사각형을 스케치한다. 모델 어셈블리에서 파트를 쉽게 배치할 수 있도록 이 서피스의 중심을 Sketcher 포인트(0, 0)와 일치시킨다. 또한 이 점을 글로벌 좌표계의 원점과 일치시킨다.

 

3. 기준점을 파트의 중심에 지정한다.

 

회로 기판의 재료는 영률이 45×109 Pa, 푸아송의 비는 0.3인 PCB 탄성 재료라고 가정한다. 기판의 질량 밀도는 500 kg/m3이다. 이런 특성을 가진 재료 PCB를 정의한다.

 

발포 포장재의 재료는 파괴 발포 소성 모델을 사용하여 만든다. 이 포장재의 탄성 특성은 3×106 Pa의 영률과 0.0의 푸아송의 비를 적용한다. 포장재의 질량 밀도는 100 kg/m3이다. 이런 특성을 가진 재료 Foam을 정의한다. 재료 특성 편집 대화 상자를 열어둔다. 

 

p-q (압력 응력-Misses 등가 응력) 평면에서 발포 폼의 항복 곡면은 다음 그림과 같다.

그림. 파괴 발포 모델: p–q 평면에서 항복 곡면

 

초기 항복 거동은 정수압 축에서 초기 항복 응력에 대한 단축 압축의 초기 항복 응력의 비율($ \sigma_c ^0 / p_c ^0 $)과 정수압 축에서 초기 항복 응력에 대한 정수압 인장에서 항복 응력의 비율($ p_t / p_c ^0 $)에 따라 지배된다. 이 예에서 첫 번째 데이터 항목에 1.1을 선택하고 두 번째 데이터 항목(양수 값으로 제공)에 0.1을 선택한다.


이 재료 모델의 정의는 경화 효과도 포함한다. 다음 표는 항복 응력-소성 변형 데이터를 보여준다.

 

표. 파괴 발포 모델의 항복 응력–소성 변형률 데이터

단축 압축으로 항복 응력(Pa) 소성 변형률
0.22000E6 0.0
0.24651E6 0.1
0.24651E6 0.2
0.29902E6 0.3
0.32455E6 0.4
0.34935E6 0.5
0.37326E6 0.6
0.39617E6 0.7
0.41801E6  0.8
0.43872E6 0.9
0.45827E6 1.0
0.49384E6 1.2
0.52484E6 1.4
0.55153E6 1.6
0.57431E6 1.8
0.59359E6 2.0
0.62936E6 2.5
0.65199E6 3.0
0.68334E6 10.0
0.68833E6  

 

이 파괴 발포의 경화 모델은 다음 그림에 표시된 곡선을 따른다.

그림. 파괴 발포 경화 재료 데이터

 

재료 특성 편집 대화 상자에서 Mechanical → Plasticity → Crushable Foam을 선택한다. 위에서 설명한 항복 응력 비율을 입력한다. Suboptions를 클릭하고 Foam Hardening을 선택한다. 하위 옵션 편집 대화 상자에서 첫 번째 셀을 선택하고 마우스 버튼 3을 클릭한다. 표시된 메뉴에서 Read from File을 선택한다. 파일 이름 drop-test-foam.txt를 선택하여 표에 표시된 경화 데이터를 읽는다.

 

재료 PCB를 참조하는 균질 Shell 요소 특성 Board_Section을 정의한다. 두께에 0.002 m를 지정하고 이 요소 특성의 정의를 파트 기판에 지정한다. 재료 Foam을 참조하는 균질 Solid 요소 특성 Foam_Section을 정의한다. 이 요소 특성의 정의를 파트 Packaging에 지정한다.

 

회로 기판에서 기판의 각 모서리에 평행한 종 방향과 횡 방향 응력 결과를 출력하는 것이 가장 중요하다. 따라서 회로 기판의 요소망에 대한 로컬 재료 방향을 지정해야 한다.

 

재료 방향을 기판에 지정하려면 다음과 같이 설정한다.

 

1. 모델 트리에서 Parts 컨테이너 아래의 Board를 두 번 클릭한다.

 

2. 이 재료 방향의 데이텀 좌표계를 정의하려면 우선 메뉴에서 Tools → Datum을 선택한다. 종류로 CSYS를 선택하고, 방법으로 2 Lines를 선택한다. 나타나는 Create Datum CSYS 대화 상자에서 직교 좌표계를 선택하고, Continue를 클릭한다. 뷰포트에서 로컬 x 축으로 만들 기판 아래의 수평 모서리를 선택하고, 로컬 X-Y 평면에 있는 기판의 오른쪽에 있는 수직 모서리를 선택한다. 데이텀 좌표계는 뷰포트에 노란색으로 표시한다.

 

3. 특성 모듈의 메뉴에서 Assign → Material Orientation을 선택한다. 뷰포트 안에서 회로 기판을 선택한다. 좌표계로 데이텀 좌표계를 선택한다. 재료 방향 편집 대화 상자에서 Shell 표면의 법선 방향으로 Axis 3을 선택하고, 축 방향의 추가 회전 None을 선택한다. 재료 방향은 뷰포트의 기판에 표시된다.

 

모델 트리에서 Assembly 컨테이너 아래의 Instances를 두 번 클릭하여 바닥에 대한 dependent Instance를 만든다. 회로 기판은 어떤 각도로 떨어진다. 최종 모델 어셈블리는 다음 그림에 나와 있다.

그림. 완성된 회로 기판 조립

 

먼저 어셈블리 모듈 배치 도구를 사용하여 포장재를 배치한다. 그다음 포장재에 상대적으로 기판을 배치한다. 마지막으로 기판의 각 데이텀 포인트의 위치에 기준점을 작성하여 칩을 표현한다.

 

포장재를 배치하려면 다음과 같이 설정한다.

 

1. 어셈블리 모듈의 메뉴 막대에서 Tools → Datum을 선택하여 포장재를 배치하는 데 도움이 되는 추가 데이텀 포인트를 만든다. 종류에 Point를 선택하고, 방법에 Enter coordinates를 선택한다. 두 개의 데이텀 포인트를 (0, 0, 0)과 (0.5, 0.707, 0.25) 위치에 만든다. 자동 스케일링 도구를 클릭하여 두 지점을 모두 뷰포트에 표시한다.

 

2. Create Datum 대화 상자에서 타입에 Axis를 선택하고, 방법으로 2 points를 선택한다. 이전 단계에서 만든 2개의 데이텀 포인트로 정의된다. 데이텀 축은 먼저 포인트 (0.5, 0.707, 0.25)를 선택하여 생성한다.

 

⊙ Selection 툴바를 사용하여 Datums를 선택한다.

 

3. 포장 재료를 Instance로 만든다.

 

4. 하단 가장자리가 데이텀 축과 평행하도록 포장재를 구속한다. 메뉴에서 Constraint → Edge to Edge를 선택한다. 다음 그림에 표시된 포장재의 모서리를 드라이브 Instance의 선형 모서리로 선택한다. 데이텀 축을 고정 Instance로 선택한다. 필요한 경우 프롬프트에서 Flip을 클릭하여 포장재의 화살표 방향을 반전시킨다. 다음 그림과 같이 화살표가 마주 보는 방향을 향하면 OK를 클릭한다.

그림. 드라이브 Instance의 선형 모서리 선택

 

⊙ 모델의 뷰를 쉽게 볼 수 있도록 메뉴에서 View → Specify를 선택하고, 방법으로 Viewpoint를 선택한다. 뷰포인트 벡터에 (-1, -1, 1), 위쪽 벡터에 (0, 0, 1)을 입력한다.

 

⊙ 필요한 경우 모델을 축소하거나 회전하여 데이텀 축의 화살표를 확인한다. 이 화살표의 방향은 먼저 축을 정의하는 방법에 따라 다르다. 자신이 정의한 축에 대한 화살표가 그림에 표시된 화살표의 반대 방향을 가리키는 경우 포장재의 화살표도 그림과 반대이다.

 

다음 그림과 같이 포장재가 배치한다.

그림. 배치 1: 포장재의 하단 가장자리가 데이텀 축을 따라 구속됨

 

◉ 배치 제한은 어셈블리의 피처로 저장한다. 어셈블리를 배치하는 동안 조작을 잘못하면 해당 배치 제한을 제거할 수 있다. 모델 트리의 Assembly 컨테이너 아래에 있는 Position Constraints 항목 목록에서 삭제할 구속조건을 마우스 버튼 3으로 클릭하고 표시된 메뉴에서 Delete를 선택하면 된다.

 

5. 세 번째 데이터 포인트를 (-0.5, 0.707, -0.5) 위치에 만들고, 자동 스케일링 도구를 다시 클릭한다.

 

6. Create Datum 대화 상자에서 종류에 Plane을 선택하고, 방법으로 Line and point를 선택한다. 이전에 만든 데이텀 축과 방금 만든 데이텀 포인트로 정의된 데이텀 평면을 만든다.

 

7. 하단 면이 데이텀 평면에 있도록 포장재를 구속한다. 메뉴에서 Constraint → Face to Face를 선택한다. 다음 그림에 표시된 포장재의 면을 드라이브 Instance의 면으로 선택한다. 데이텀 평면을 고정 Instance로 선택한다. 필요한 경우 프롬프트에서 Flip을 클릭한다. 두 화살표가 같은 방향을 향하면 OK를 클릭한다. 고정 평면에서 기본 거리 0.0을 그대로 사용한다.

그림. 바닥에 대한 포장재의 최종 배치

 

9. 그다음 포장재와 바닥 사이에 초기 침투를 일으키지 않으려면 바닥을 약간 아래로 이동한다. 불일치가 발생하지 않도록 상대 배치 구속조건을 절대 구속조건으로 변환한다. 메뉴 막대에서 Instance → Convert Constraints를 선택한다. 뷰포트에서 포장 재료를 선택하고, 프롬프트에서 Done을 클릭한다. 메뉴에서 Instance → Translate를 선택한다. 뷰포트에서 바닥을 선택한다. 이동 벡터의 시작점에 (0.0, 0.0, 0.0), 끝점에 (0.0, 0.0, -0.0001)을 입력한다. OK를 클릭하여 새 위치를 확인한다.

 

회로 기판을 배치하려면 다음과 같이 설정한다.

 

1. 회로 기판을 Instance로 만든다. Create Instance 대화 상자에서 Auto-offset from other instances를 켠다.

 

2. 메뉴에서 Constraint → Parallel Face를 선택한다. 기판의 면을 드라이브 Instance의 페이스로 선택하고, 포장재 긴 측면을 고정 Instance의 면으로 선택한다. 필요한 경우 프롬프트에서 Flip을 클릭하여, 두 면의 화살표가 다음 그림에 표시된 방향을 향하게 한다. OK를 클릭하여 구속을 완료한다.

 

그림. 회로 기판에 대한 면에 평행한 구속

 

3. 메뉴에서 Constraint → Parallel Edge를 선택한다. 기판의 상단 모서리를 드라이브 Instance의 모서리로 선택한다. 포장재의 긴 측면을 따라 가장자리를 고정 Instance의 가장자리로 선택한다. 필요한 경우 프롬프트에서 Flip을 클릭하여 다음 그림과 같이 두 모서리의 화살표가 같은 방향을 향하게 한다. OK를 클릭하여 구속조건을 완료한다.

그림. 회로 기판에 대한 모서리에 평행한 구속

 

4. 메뉴에서 Constraint → Coincident Point를 선택한다. 기판 하단의 중간 지점을 드라이브 Instance의 포인트로 선택한다. 포장재 홈의 중심에 있는 데이텀 포인트를 고정 Instance의 포인트로 선택한다.

 

⊙ Selection 툴바를 사용하여 Datums를 선택한다.

 

다음 그림은 회로 기판의 최종 배치를 보여준다. 회로 기판과 포장재의 홈은 같은 두께 (2 mm)이므로 이 두 물체 사이에 끼워져 있다.

그림. 회로 기판의 최종 배치

 

칩을 만들려면 다음과 같이 설정한다.

 

기판의 3개의 데이텀 포인트의 각 위치에 기준점을 작성하여 각 칩을 표현한다. 이 기준점은 나중에 질량 특성을 지정한다. 참조 점을 만들려면 어셈블리 모듈의 메뉴에서 Tools → Reference Point를 선택한다. 이런 참조 점의 작성이 끝나면 어셈블리가 완성된다.

 

계속하기 전에 출력 요청과 질량 특성을 지정하는 데 사용할 다음 형상 세트를 작성한다.

• Top_Chip: 가장 높은 위치에 있는 칩 참조 점

• Mid_Chip: 중간 위치의 칩 참조 점

• Bot_Chip: 가장 낮은 위치에 있는 칩 참조 점

• Bot_Board: 기판 하단 모서리

 

단일 동적 외연적 단계 Drop을 만든다. 시간 폭은 0.02초로 설정한다. 기본 기록 출력 요청과 필드 출력 요청은 그대로 사용한다. 또한 수직 방향 변위(U3), 수직 방향 속도(V3)와 수직 방향 가속도(A3)의 7×10⁻⁵초마다 이력 출력이 3개의 칩 각각에 대해 요청한다.

 

⊙ 먼저 첫 번째 칩에 대한 이력 출력 요청을 정의한다. 그다음 History Output Requests Manager에서 출력 요청을 복사하고 대상 영역을 편집하여 나머지 칩에 대한 요청을 정의한다.

 

세트 Bot_Board의 상면(단면점 5)에서 로그 변형률 구성 요소(LE11, LE22, LE12)와 주 로그 변형률(LEP)에 대해 7×10⁻⁵초의 이력 출력이 필요하다.

 

이 예제는 Abaqus/Explicit의 모든 접촉 알고리즘을 사용할 수 있다. 그러나 접촉 쌍 알고리즘을 사용한 접촉은 일반 접촉과 달리 사용되는 서피스가 여러 객체에 걸쳐있을 수 없으므로 일반 접촉보다 정의에 더 큰 노력이 필요할 수 있다. 이 예제는 일반 접촉 알고리즘을 사용하여 복잡한 형상이 쉽게 접촉을 정의할 수 있다는 것을 구체적으로 보여준다.

 

접촉 상호 작용 특성 Fric을 정의한다. Edit Contact Property 대화 상자에서 Mechanical → Tangential Behavior를 선택하여 마찰 공식으로 Penalty를 선택하고, 테이블에 마찰 계수 0.3을 지정한다. 다른 모든 것은 기본값을 사용한다.

 

Drop 단계에서 General contact (Explicit)인 All을 만든다. Edit Interaction 대화 상자에서 Abaqus/Explicit는 자동으로 Contact Domain의 기본 선택인 All * with self를 그대로 사용한다. 정의된 기본 이름이 없는 모든 것을 포함하는 서피스에 대한 자체 접촉을 지정한다. 이 방법은 Abaqus/Explicit에서 전체 모델에 대한 접촉을 정의하는 가장 간단한 방법이다. Global property assignment로 Fric을 선택하고 OK를 클릭한다.

 

바인딩 구속조건을 사용하여 칩을 기판에 부착한다. 회로 기판의 표면 Board를 정의하는 것으로 시작한다. 프롬프트 영역에서 Both sides를 선택하여 서피스가 양면이라는 것을 지정한다. 모델 트리에서 Constraints 컨테이너를 두 번 클릭하여 조인 구속 Top_Chip을 정의한다. Master 평면에서 Board를 선택하고 Slave 절점 영역에서 Top_Chip을 선택한다. 칩의 질량 효과만 필요하므로 Edit Constraint 대화 상자에서 Tie rotational DOFs if applicable을 선택하고, OK를 클릭한다. 이 구속조건을 나타내는 노란색 원이 모델에 표시된다. 마찬가지로 중간과 가장 낮은 위치에 있는 칩에 대해 결합 제약 Mid_Chip과 Bot_Chip을 만든다.

 

집중 질량을 각 칩에 지정한다. 이렇게 하려면 모델 트리의 Assembly 컨테이너 아래에 있는 Engineering Features를 확장한다. 표시된 목록에서 Inertia를 두 번 클릭한다. Create Inertia 대화 상자에서 Mass_Top_Chip 이름을 입력하고 Continue를 클릭한다. 세트 Top_Chip을 선택하고 0.005 kg의 질량을 지정한다. 이 작업은 나머지 두 칩에서도 반복한다.

바닥 기준점을 모든 방향으로 구속한다. 예를 들어 ENCASTRE 경계 조건을 사용한다.

 

회로 기판을 1 m 높이에서 떨어뜨리는 해석을 수행하려면 두 가지 방법을 사용할 수 있다. 회로 기판과 포장재를 바닥에서 높이 1 m 위치에 만들고 중력의 영향에서 운동을 Abaqus/Explicit로 계산할 수 있다. 그러나 이 방법은 해석의 ‘자유 낙하’ 부분이 완료되기 전에 많은 증분이 필요하므로 실용적이지 않다. 더 효율적인 방법으로 회로 기판과 포장재를 초기 배치에서 바닥 표면에 가깝게 만들어서 1 m 낙하에 해당하는 4.43 m/s의 초기 속도를 지정하는 방법이다. 초기 단계에서 규정된 필드를 생성하고 기판, 칩과 포장재에 V3 = -4.43 m/s의 초기 속도를 지정한다.

 

회로 기판에서 종 방향과 횡 방향을 따라 각각 10개의 요소를 Seed로 정의한다. 포장재의 가장자리에 다음 그림과 같이 Seed를 정의한다. 포장재의 요소망은 충돌하는 코너 부근이 너무 거칠어서 정확한 결과를 얻을 수 없다. 그러나 저비용으로 수행하는 예비 조사로 충분하다. 스윕 요소망 기술(Medial axis 알고리즘)을 사용하여 포장재와 기판을 각각 Abaqus/Explicit 요소 라이브러리의 C3D8R과 S4R 요소로 나눈다. 포장재 요소망에 강화 Hourglass 제어를 사용하여 Hourglass의 영향을 제어한다. 바닥에 1.0의 전체 Seed를 지정하고, 하나의 Abaqus/Explicit R3D4 요소로 요소망을 나눈다.

그림. 포장재의 요소망 가장자리 Seed

 

작업 Circuit을 작성하고 설명으로 Circuit board drop test를 입력한다. 이 해석은 배정도를 사용하여 해의 노이즈를 최소화한다. 작업 편집 대화 상자의 Precision 탭에서 Abaqus/Explicit의 정밀도로 Double-analysis only를 선택한다. 모델을 모델 데이터베이스 파일에 저장하고 해석 작업을 제출한다. 해석 진행 상황을 모니터링하고 모델링 오류가 감지되면 이를 수정하고 경고 메시지가 있으면 원인을 조사한다.

 

2) 후처리

Visualization 모듈을 시작하고 이 작업에서 생성된 Circuit.odb를 연다. 방향 정의에서 얻은 재료 방향은 Visualization 모듈에서 확인할 수 있다.

 

재료 방향을 표시하려면 다음과 같이 설정한다.

 

1. 먼저 뷰를 편리한 설정으로 변경한다. Views 툴바가 표시되지 않으면 기본 메뉴 막대에서 View → Toolbars → Views를 선택하여 표시한다. 뷰 툴바에서 X-Z 설정을 선택한다.

 

2. 메뉴에서 Plot → Material Orientation → On Deformed Shape를 선택한다. 해석이 끝나면 회로 기판의 재료 방향이 표시된다. 재료의 각 축 방향은 다른 색상으로 그려진다. 재료 1방향은 청색, 2방향은 황색, 3방향은 존재하는 경우 적색이다.

 

3. 초기 재료 방향을 표시하려면 Results → Step/Frame을 선택한다. 나타나는 Step/Frame 대화 상자에서 Increment 0을 선택한다. Apply를 클릭한다. 초기 재료 방향이 표시된다.

 

4. 해석이 끝나면 결과디스플레이를 되돌리려면 Step/Frame 대화 상자에서 마지막 증분을 선택하고 OK를 클릭한다.

 

충돌할 때 회로 기판과 발포 포장재의 움직임과 변형을 시각화하기 위해 변형의 시간 경과 애니메이션을 만든다.

 

시간 기록 애니메이션을 만들려면 다음과 같이 설정한다.

 

1. 해석이 끝나면 변형 형상을 표시한다.

 

2. 메뉴에서 Animate → Time History를 선택한다. 변형 모양의 애니메이션이 시작된다.

 

3. 메뉴 막대에서 View → Parallel을 선택하여 원근감을 끈다.

 

4. 애니메이션이 한 번 표시되면 일시 중지 아이콘을 클릭하여 애니메이션을 일시 중지한다.

 

5. 컨텍스트 바에서, 아이콘을 클릭하여 발포 포장재가 바닥에 충돌하는 모서리 부분의 절점을 선택한다. 애니메이션을 다시 시작하면 카메라가 선택한 절점과 함께 이동한다. 이 절점은 디스플레이를 확대해도 항상 애니메이션으로 표시된다.

 

◉ 카메라를 재설정하고 글로벌 좌표계로 되돌리려면 컨텍스트 막대에서 아이콘을 클릭한다.

 

낙하 시험의 변형 이력을 보면서, 발포 포장재가 언제 바닥과 접촉하는지 주목한다. 첫 번째 충돌은 분석 시작 후 4 ms 동안 발생했다. 두 번째 충돌은 약 8 ms와 15 ms 사이에 발생한다. 충돌 후 약 4 ms 후의 발포 포장재와 기판의 변형 상태는 다음 그림과 같다.

그림. 4 ms의 변형 요소망

 

시간에 대한 다양한 에너지 그래프를 표시한다. 에너지 출력은 Abaqus/Explicit 해석이 적절한 응답을 예측하는지를 평가할 때 사용할 수 있다.

 

에너지의 시간 기록을 표시하려면 다음과 같이 설정한다.

 

1. 결과 트리에서 출력 데이터베이스 Circuit.odb의 History Output을 마우스 버튼 3으로 클릭한다. 표시된 메뉴에서 Filter를 선택한다.

 

2. 필터 필드에 *ALL*을 입력하여 이력 출력을 에너지 출력 변수로 필터링한다.

 

3. ALLAE 출력 변수를 선택하고 데이터를 Artificial Energy로 저장한다.

 

4. ALLIE 출력 변수를 선택하고 데이터를 Internal Energy로 저장한다.

 

5. ALLKE 출력 변수를 선택하고 데이터를 Kinetic Energy로 저장한다.

 

6. ALLPD 출력 변수를 선택하고 데이터를 Plastic Dissipation으로 저장한다.

 

7. ALLSE 출력 변수를 선택하고 데이터를 Strain Energy로 저장한다.

 

8. 결과 트리에서 XYData 컨테이너를 확장한다.

 

9. 다섯 개의 커브를 모두 선택한다. 마우스 버튼 3을 클릭하고 표시된 메뉴에서 Plot을 선택하여 X-Y 표시를 표시한다. 그다음 곡선의 선 스타일을 변경하여 표시를 표시하는 방법을 사용자 정의한다.

 

10. Curve Options 대화 상자를 연다.

 

11. 이 대화 상자에서 뷰포트에 표시되는 곡선에 각각 다른 선의 스타일과 두께를 적용한다.

 

그다음 범례를 표시 내부에 표시되도록 재배치한다.

 

12. 범례를 두 번 클릭하여 Chart Legend Options 대화 상자를 엽니다.

 

13. 이 대화 상자에서 Area 탭으로 전환하고 Insert를 켠다.

 

14. 뷰포트에서 범례를 표시로 드래그한다. 그다음 X축 레이블의 형식을 변경한다.

 

15. 뷰포트에서 X축을 두 번 클릭하여 Axis Options 대화 상자의 X Axis 옵션을 표시한다.

 

16. 이 대화 상자에서 Axes 탭으로 전환하고 X축에 Engineering의 레이블 형식을 선택한다. 에너지의 시간 이력은 다음 그림과 같이 표시한다.

그림. 시간에 대한 에너지 결과

 

먼저 운동 에너지의 시간 이력을 생각해 보자. 해석을 시작할 때 각 구성 요소는 자유 낙하 상태이며, 운동 에너지는 크다. 첫 번째 충돌에서 발포 포장재가 변형되어 운동 에너지가 감소한다. 그다음이 구성 요소는 튀어나오면서 충돌 코너를 중심으로 회전하고 약 8 ms에서 발포 포장재의 반대쪽이 바닥에 충돌하여 운동 에너지가 더욱 감소한다.

 

충돌할 때 발포 포장재가 변형되면 발포 포장재와 회로 기판이 운동 에너지에서 내부 에너지로 변환된다. 위 그림에서 내부 에너지가 운동 에너지의 감소에 따라 증가하는지 확인할 수 있다. 실제로, 내부 에너지는 탄성 에너지와 분산된 소성 에너지로 구성되며, 이들은 위 그림에 도시되었다. 탄성 에너지는 최대치로 상승한 후 탄성 변형이 회복되면서 감소한다. 한편, 분산된 소성 에너지는 포장재의 영구 변형에 따라 계속 증가하고 있다.

 

또 다른 중요한 에너지 출력 변수는 인공 에너지이다. 이 분석에서 이 에너지는 내부 에너지에 비해 상당한 비율(약 15%)이다. 이미 언급했듯이 인공 에너지를 전체 내부 에너지에 비해 작은 비율로 줄일 수 있으면 솔루션의 정확도가 향상된다.

 

이 예제에서 인공적인 변형률 에너지를 크게 하는 원인은 무엇인가?

 

하나의 절점에서 접촉(이 예제에서 코너 충돌에 해당)은 거친 요소망, 특히, Hourglass 모드가 발생할 수 있다. 인공적인 변형률 에너지를 줄이기 위한 일반적인 지침은 요소망을 미세하게 만드는 방법과 충돌하는 모서리를 반올림하는 두 가지 방법이다. 그러나 이 예제에서는 요소망을 개선하면 해가 개선된다는 것을 알고 있으므로 원래 요소망으로 작업을 계속한다.

 

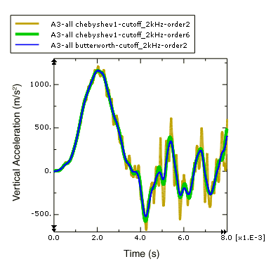
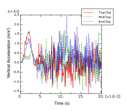
다음 해석 결과는 회로 기판에 부착된 칩의 가속도이다. 충돌할 때 가속도가 너무 크면 칩이 손상될 수 있다. 따라서 발포 포장재의 성능을 평가하려면 이런 칩의 가속 이력을 표시해야 한다. 이 가속도는 3방향으로 최대가 될 것으로 예상되므로 변수 A3를 표시한다.

 

가속도의 시간 기록을 표시하려면 다음과 같이 설정한다.

 

1. 결과 트리에서 *A3*를 사용하여 History Output 컨테이너를 좁히고 세트 Top_Chip, Mid_Chip과 Bot_Chip에서 절점의 가속도 A3를 선택하고 세 개의 X-Y 데이터 객체를 표시한다.

 

X-Y 표시가 뷰포트에 표시된다. 이전과 마찬가지로 표시 방법을 사용자 정의하여 다음 그림과 같이 표시한다.

그림. 3개 칩의 Z방향 가속도

 

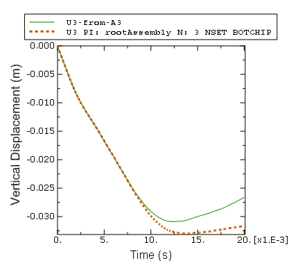
그다음 가장 낮은 위치에 있는 칩에 대해 출력된 가속도 데이터의 타당성을 평가한다. 이를 위해 칩의 가속도 데이터를 적분하여 속도와 변위를 계산하고 출력 속도와 변위 데이터를 비교한다.

 

가장 낮은 위치에 있는 칩의 가속도 이력을 적분하려면 다음과 같이 설정한다.

 

1. 결과 트리에서 *BOTCHIP*를 사용하여 History Output 컨테이너를 좁히고 세트 Bot_Chip에서 절점의 가속도 A3를 선택하고 데이터를 A3로 저장한다.

 

2. 결과 트리에서 XYData를 두 번 클릭한다. 그다음 Create XY Data 대화 상자에서 Operate on XY data를 선택한다. Continue를 클릭한다.

 

3. Operate on XY data 대화 상자에서 가속도 A3를 적분하여 속도를 계산하고 초기 속도 값 4.43 m/s를 줄인다. 대화 상자 상단에 산술식이 다음과 같이 표시된다.

integrate( "A3" ) - 4.43

 

4. Plot Expression을 클릭하여 계산된 속도의 곡선을 표시한다.

 

5. 결과 트리에서 세트 Bot_Chip의 절점에 대한 속도 V3의 기록 출력을 마우스 버튼 3으로 클릭하고, 표시된 메뉴에서 Add to Plot을 선택한다. X-Y 표시가 뷰포트에 표시된다. 이전과 마찬가지로 표시 방법을 사용자 정의하여 다음 그림과 같이 표시한다. 가속도 데이터를 적분하여 얻은 속도 곡선은 이 그림에 표시된 속도 곡선과 다를 수 있다. 이런 원인은 나중에 설명한다.

그림. 가장 낮은 위치의 칩의 Z 방향 속도

 

6. Operate on XY Data 대화 상자에서 가속도 A3를 다시 적분하여 칩의 변위를 계산한다. 대화 상자 상단에 산술식이 다음과 같이 표시된다.

integrate( integrate( "A3" ) - 4.43 )

 

7. Plot Expression을 클릭하여 계산된 변위 곡선을 표시한다. Y-값 종류가 길이(Length)라는 것을 유의한다. 계산된 변위를 해석 중에 기록된 변위 출력과 같은 Y축으로 표시하기 위해 X-Y 데이터를 저장하고 Y-값 종류를 변위로 변경해야 한다.

 

8. Save As를 클릭하여 계산된 변위 곡선을 U3-from-A3로 저장한다.

 

9. 결과 트리의 XYData 컨테이너에서 U3-from-A3를 마우스 버튼 3으로 클릭하고 표시된 메뉴에서 Edit을 선택한다.

 

10. Edit XY Data 대화 상자에서 Y값 종류로 Displacement를 선택한다.

 

11. 결과 트리에서 U3-from-A3를 두 번 클릭하여 계산된 변위의 곡선을 변위의 Y값 종류로 다시 표시한다.

 

12. 결과 트리에서 세트 Bot_Chip의 절점에 대한 변위 U3의 이력 출력을 마우스 버튼 3으로 클릭하고 표시된 메뉴에서 Add to Plot을 선택한다.

 

X–Y 표시는 뷰포트에 표시된다. 이전과 마찬가지로 표시 방법을 사용자 정의하여 다음 그림과 같은 표시를 표시한다. 여기에서도 실제로 가속도 데이터를 통합한다. 얻은 곡선은 이 그림에 표시된 곡선과 다를 수 있다. 그 원인은 나중에 설명한다.

그림. 가장 낮은 위치의 칩의 Z 방향 변위

 

왜 가속도 데이터를 적분하여 계산된 속도와 변위 곡선이 분석 중에 출력되는 속도와 변위와 다른가?

 

이 예제의 가속도 데이터는 앨리어싱이라는 현상으로 인해 손상되었다. 앨리어싱이란 (Abaqus 분석 결과와 같은) 신호가 시간 영역의 일련의 이산화 점에서 샘플링할 때 저장된 데이터점의 수가 신호를 정확하게 표현하기에 충분하지 않은 경우이다. 발생하는 데이터 손상의 한 형태이다. 앨리어싱의 현상은 디지털 신호 처리(DSP) 방법을 사용하여 해결할 수 있다. 이 방법은 Nyquist의 샘플링 정리(Shannon의 샘플링 정리라고도 함)를 기반으로 한다. 이 샘플링 정리에서는 신호를 최대 주파수의 두 배보다 높은 속도로 샘플링해야 한다. 즉, 주어진 샘플링 레이트로 표현할 수 있는 주파수 성분은 그 비율의 절반(Nyquist 주파수)까지이다. 샘플링 속도의 Nyquist 주파수보다 높은 주파수에서 진동의 진폭이 큰 신호를 샘플링(저장)하면 앨리어싱으로 신호가 크게 왜곡될 수 있다. 이 예제에서는 칩의 가속도를 0.07 ms마다 샘플링했다. 이것은 14.3 kHz의 샘플링 속도이다(샘플링 속도는 샘플 크기의 역수). 칩의 가속도 응답에는 7.2 kHz(샘플링 속도의 절반)보다 높은 주파수 성분이 포함되어 있어서 기록된 데이터는 앨리어싱된다.

 

앨리어싱에 의한 데이터 왜곡을 잘 이해하기 위해 다음 그림과 같이 1 kHz의 사인파를 다양한 샘플링 속도로 샘플링한 경우를 고려한다. 샘플링 정리에 따르면 별칭 왜곡을 피하려고 이 신호는 2 kHz보다 높은 속도로 샘플링해야 한다. 여기서는 샘플링 속도가 2 kHz보다 높거나 낮을 때의 현상을 평가한다.

그림. 1.1 kHz과 3 kHz로 샘플링한 1 kHz 사인파

 

필요한 속도 2 kHz보다 낮은 샘플링 속도 1.1 kHz로 기록된 데이터를 고려한다. 원래의 1 kHz 사인파와 완벽히 다르므로 결과 곡선에는 별칭 변형이 발생한다.

 

그다음 필요한 속도 2 kHz보다 높은 샘플링 속도 3 kHz로 기록된 데이터를 고려한다. 원래 신호의 주파수 성분은 앨리어싱 되지 않고 표현된다. 그러나 3 kHz의 샘플링 속도는 샘플링되는 신호의 피크 값이 정확하게 표현되도록 보장하기에 아주 높은 주파수가 아니다. 기록된 로컬 피크 값의 95% 정확도를 얻으려면 샘플링 속도를 신호 주파수의 10배 이상으로 설정해야 한다.

 

앞서 언급한 두 가지 앨리어싱의 예(앨리어싱 된 칩의 가속도와 사인파)에서는 앨리어싱 된 데이터만 앨리어싱이 발생했는지를 결정하기가 어렵다. 또한 별칭 데이터만 원래 신호를 고유하게 재구성할 수 없다. 따라서 특히 앨리어싱이 발생할 가능성이 큰 경우 분석 결과가 앨리어싱되지 않도록 주의해야 한다.

 

앨리어싱의 발생 가능성은 출력 빈도, 출력 변수, 모델 특성 등과 같은 여러 요소에 따라 다릅니다. 전술 한 바와 같이, 샘플링 레이트의 절반(Nyquist 주파수)보다 높은 주파수에서 진동의 진폭이 큰 경우, 앨리어싱에 의해 신호가 왜곡될 수 있다. 진폭이 큰 고주파 성분을 포함할 가능성이 큰 출력 변수는 가속도와 반력의 두 가지이다. 즉, 이런 변수는 가장 앨리어싱이 발생하기 쉽다. 한편, 변위는 그 특성으로부터 주파수 성분이 낮아서 앨리어싱이 발생하기 어렵다. 응력과 변형과 같은 다른 결과 변수에서 앨리어싱의 발생 가능성은 이 두 가지 사이에 있다. 모델에 솔루션의 고주파 응답을 줄이는 특성이 있는 경우 분석에서 앨리어싱의 발생 가능성도 줄어든다. 예를 들어, 탄성이 지배적인 충돌 문제는 에너지를 흡수하는 포장재를 고려한 회로 기판의 낙하 시험보다 앨리어싱이 발생하기 쉽다.

 

분석 결과에서 앨리어싱이 문제가 되지 않도록 하는 확실한 방법은 각 증가에 대해 출력을 요청하는 것이다. 이 경우 출력 빈도는 안정 시간 증분 때문에 결정되며 안정 시간 증분은 모델의 예측된 최대 주파수 응답을 기반으로 한다. 그러나 증분별 출력 요청은 출력 파일이 매우 커지므로 가끔 실용적이지 않다. 또한 일반적으로 증분별 출력에는 불필요한 데이터가 많이 포함된다. 즉, 실제로 주목하고 있는 현상이 저주파 구조 응답인 경우, 고주파 해의 진동은 불필요하다. 앨리어싱의 발생을 회피하는 또 다른 방법으로서, 출력을 낮은 빈도로 요구해, Abaqus/Explicit의 실시간 필터링 기능을 사용해, ODB 파일에 데이터를 입력하기 전에 해석 결과로부터 고주파 성분을 제거하는 방법이 있다. 이 기술에서는 사용되는 디스크 공간이 증분 당 출력을 요청하는 방법보다 적다. 그러나 (디지털 신호 처리와 관련된 앨리어싱 또는 기타 변형을 피하려고) 출력 빈도와 필터를 사용자가 적절하게 선택해야 한다.

 

Abaqus/Explicit는 필드 데이터와 이력 데이터 모두에 대해 필터링 기능을 제공한다. 여기서는 이력 데이터 필터링에 관해서만 설명한다.

 

3) 출력 필터링을 지정한 분석 실행

이 절에서는 회로 기판의 낙하 시험 해석의 이력 출력 요청에 실시간 필터를 추가한다. Abaqus/Explicit는 지정된 기준에 따라 사용자 정의 출력 필터(Butterworth, Chebyshev Type I, Chebyshev Type II)를 만들 수도 있지만 이 예제는 내장된 anti-aliasing 필터를 사용한다. 내장된 anti-aliasing 필터는 출력 요청에 지정된 출력 빈도로 기록된 분석 결과가 가능한 한 앨리어싱되지 않도록 만들어진다. 이를 위해 Abaqus/Explicit는 샘플링 속도의 1/6로 설정된 차단 주파수를 갖는 저역 통과의 2차 Butterworth 필터를 내부적으로 적용한다.

 

Abaqus는 절점의 이력 출력을 출력 데이터베이스에 내보낼 때 각 데이터 객체에 기록된 출력 변수, 사용된 필터(사용된 경우), 부품 Instance 이름, 절점 번호와 절점 세트를 나타내는 이름을 제공한다. 여기서는 Bot_Chip 세트의 절점에 대해 출력 샘플링 속도만 다른 여러 출력 요청을 만든다. 이 비율은 이력 출력 이름에는 포함되지 않는다. 이런 출력 요청을 쉽게 구별하기 위해 가장 낮은 위치에 있는 칩의 참조 절점에 대해 두 개의 새로운 세트를 만든다. 새 세트의 한 이름은 Bot_Chip-all이고 다른 이름은 Bot_Chip-largeInc이다.

 

그다음 가장 낮은 위치의 칩에 대한 이력 출력 요청을 세 번 복사한다. 첫 번째 복사본을 편집하여 Antialiasing 필터를 활성화한다. 이 요청은 계속해서 세트 Bot_Chip을 사용하여 7×10⁻⁵초마다 데이터를 기록한다. 두 번째 복사본을 편집하여 데이터를 증가시키면서 이 출력 요청을 세트 Bot_Chip-all에 적용한다. 세 번째 복사본을 편집하여 7×10⁻⁴ 초마다 데이터를 기록하고 이 출력 요청을 세트 Bot_Chip-largeInc에 적용하여 Antialiasing 필터를 활성화한다. 작업이 끝날 때 가장 낮은 위치에 있는 칩에 대해 4개의 이력 출력 요청이 가능하다(원래 이력 출력 요청과 여기에 추가된 3개의 이력 출력 요청).

 

세트 Bot_Board의 왜곡에 대한 출력 요청을 편집하여 Antialiasing 필터를 활성화한다.

 

여기에서 결과를 설명하지 않지만, 절점 세트 Mid_Chip과 Top_Chip의 변위, 속도와 가속도에 대한 이력 출력 요청에 anti-aliasing 필터를 추가할 수도 있다.

 

모델 데이터베이스를 저장하고 해석 작업을 제출한다.

 

가장 낮은 위치에 있는 칩의 필터링된 가속도 평가 분석이 완료되면 임베디드 anti-aliasing 필터를 사용하여 0.07 ms마다 기록된 가장 낮은 위치의 칩의 가속도 이력 출력에 대한 유효성 확인한다. 필터링된 가속도 데이터(세트 Bot_Chip의 A3_ANTIALIASING)를 저장하고 적분하고, 그 결과를 이전에 필터링되지 않은 결과를 비교한 것과 마찬가지로, 기록된 속도와 변위의 데이터와 비교함으로써, 유효성을 확인한다. 이번에는 필터링된 가속도를 적분하여 계산된 속도와 변위 곡선이 분석 중에 출력 데이터베이스에 기록된 속도와 변위 값과 거의 같다. 또한 임베디드 anti-aliasing 필터의 사용 여부와 관계없이 속도와 변위의 결과는 같다. 이것은 절점 속도 곡선과 절점 변위 곡선의 고주파 성분이 샘플링 속도의 절반보다 훨씬 낮기 때문이다. 즉, 필터링 없이 데이터를 기록할 때 앨리어싱이 발생하지 않았으며 내장된 anti-aliasing 필터를 적용할 때 삭제할 고주파 응답이 없으므로 효과가 없었다.

 

그다음 각 증분에 대해 기록된 가속도 A3의 이력 출력을 0.07 ms마다 기록된 가속도 A3의 두 개의 이력 곡선과 비교한다. 다른 결과와 혼동하지 않으려면 먼저 증분별로 기록된 데이터를 표시한다.

 

가속도의 시간 기록을 표시하려면 다음과 같이 설정한다.

 

1. 결과 트리에서 *A3*BOTCHIP*를 사용하여 History Output 컨테이너를 좁히고 절점 세트 Bot_Chip-all에 대한 가속도 A3의 이력 출력을 두 번 클릭한다.

 

2. 절점 세트 Bot_Chip에 대한 두 개의 가속도 A3의 이력 출력 객체(내장된 anti-aliasing 필터로 필터링된 것과 필터링 없는 것)를 [Ctrl] + 클릭을 사용하여 선택하고 마우스 버튼 3을 클릭한다. 그다음 표시된 메뉴에서 Add to Plot를 선택한다.

 

X–Y 표시가 뷰포트에 표시된다. 결과의 처음 1/3만 확대하여 표시하고, 표시 방법을 사용자 정의하고, 다음 그림과 같은 표시를 표시한다.

그림. 필터링을 적용한 경우와 적용하지 않을 때의 가속도 비교

 

먼저 각 증분에 대해 기록된 가속도 기록을 고려한다. 이 곡선에는 많은 데이터가 포함되어 있으며 구조적으로 중요한 낮은 주파수의 가속도 성분을 불명료하게 만들 정도로 진폭이 큰 고주파 해의 진동 등이 포함되어 있다. 출력을 증가시키면 출력 시간 증분은 안정 시간 증분과 같다. 안정 시간 증분은 모델에서 예측되는 가장 높은 주파수 응답을 기반으로 한다(안정성을 보장하기 위해). 구조적으로 중요한 주파수는 일반적으로 모델의 최고 주파수보다 2-4자리 작다. 이 예에서 안정 시간 증분은 8.4×10⁻⁴ ms에서 8.8×10⁻⁴ ms의 범위에 있다(상태 파일 Circuit.sta 참조). 이것은 약 1 MHz의 샘플링 속도에 해당한다. 이 설명의 샘플링 속도는 값이 안전하지 않은 경우에도 분수가 잘린다. 샘플링 정리를 통해 주어진 샘플링 속도로 표현할 수 있는 최고 주파수는 그 비율의 절반이다. 따라서 이 모델의 최고 주파수는 약 500 kHz이다. 일반적인 구조 주파수는 약 2~3 kHz이다(모델의 최대 주파수보다 2자리 이상 낮음). 증분별로 기록된 출력은 3~500 kHz 범위에 원하지 않는 해의 진동이 많이 포함되어 있지만 올바른(앨리어싱되지 않은) 데이터가 되도록 보장된다. 이 데이터는 필요한 경우 사후 처리로 필터링할 수도 있다.

 

그다음 필터링 없이 0.07 ms마다 기록된 데이터를 고려한다. 앞에서 언급했듯이 이것은 앨리어싱으로 손상된 곡선이다. 이 곡선은 0.07 ms의 각 간격 직후의 가속도 값이 그대로 포함되어 있으므로 포인트마다 값이 크게 변한다. 고주파 진동 변수의 특성으로 이 앨리어싱 결과는 다른 미세한 솔루션의 변동(예: 컴퓨터 플랫폼 간의 차이로 인한 변동)에 매우 민감하다. 따라서 실제로 0.07 ms마다 기록 한 결과는 위 그림에 표시된 것과 크게 다를 수 있다. 마찬가지로 앨리어싱된 가속도 데이터를 통합하여 생성된 속도와 변위 곡선도 솔루션 진동의 미세한 차이에 매우 민감하다.

 

0.07 ms마다 요청된 출력에 내장된 anti-aliasing 필터를 적용하면 14.3 kHz의 샘플링 속도로 표현할 수 없는 고주파 성분이 제거된 다음 결과가 출력 데이터베이스에 기록된다. 이를 위해 Abaqus는 로우패스 2차 Butterworth 필터를 내부적으로 정의한다. 저역 통과 필터는 신호에 대해 지정된 컷오프 주파수보다 높은 주파수 성분을 감쇠시킨다. 이상적인 저역 통과 필터는 컷오프 주파수보다 높은 모든 주파수를 완벽히 제거하고 컷오프 주파수보다 낮은 주파수 성분에는 영향을 미치지 않는다. 현실적으로, 컷오프 주파수 전후에 부분적으로 감쇠되는 주파수의 전이 대역이 존재한다. 이를 보정하기 위해 임베디드 anti-aliasing 필터는 샘플링 속도의 1/6이 되는 컷오프 주파수(샘플링 속도의 1/2인 Nyquist 주파수보다 낮은 값)를 사용한다. 대부분 (이 예도 포함), 출력 데이터베이스에 데이터를 쓰고 st 주파수보다 높은 주파수 성분을 생성하기 전에 Nyquist를 제거하기 위해 이 차단 주파수로 충분하다.

 

Abaqus/Explicit는 지정된 출력 시간 간격이 내부 anti-aliasing 필터에 적절한 차단 주파수를 제공하는지 확인하지 않는다. 예를 들어, Abaqus는 신호 노이즈만 제거되는지를 확인하지 않는다. 가속도 데이터가 0.07 ms마다 기록되면 내부 anti-aliasing 필터는 2.4 kHz의 컷오프 주파수로 적용된다. 이 컷오프 주파수는 모델에 대해 물리적으로 의미 있는 최대 주파수로 이전에 얻은 값과 거의 같다(안정 시간 증분으로 표현할 수 있는 최대 주파수보다 2자리 이상 작은 값). 0.07 ms의 출력 간격은 물리적으로 의미 있는 주파수 성분이 필터링되지 않도록 이 예에서 의도적으로 선택된다. 그다음 과도하게 큰 샘플링 간격으로 anti-aliasing 필터를 적용한 결과를 조사한다.

 

필터링된 가속도의 시간 기록을 표시하려면 다음을 설정한다.

 

1. 결과 트리에서 절점 세트 Bot_Chip-all에 대한 가속도 A3의 기록 출력을 두 번 클릭한다.

 

2. 가장 낮은 위치의 칩에 대한 필터링된 가속도 A3_ANTIALIASING의 두 개의 이력 출력 객체를 선택하고 마우스 버튼 3을 클릭하고 표시된 메뉴에서 Add to Plot을 선택한다.

 

X-Y 표시가 뷰포트에 표시된다. 표시를 줄이고 표시 방법을 사용자 정의하여 다음 그림과 같이 표시한다.

그림. 다른 출력 샘플링 속도로 필터링된 가속도

 

위 그림은 너무 큰 출력 시간 간격으로 내장된 anti-aliasing 필터를 사용할 때 발생할 수 있는 몇 가지 문제를 명확하게 보여준다. 첫째, 큰 시간 간격으로 가속도가 기록되면 가속도 출력의 많은 진동이 제거된다. 이 동적 충돌 문제에서 제거된 주파수 성분의 대부분은 물리적으로 의미가 있을 가능성이 크다. 이전에 구조 응답의 주파수가 2~3 kHz 정도의 크기가 될 것으로 추정했다. 그러나 샘플링 간격이 0.7 ms인 경우 필터링은 0.24 kHz의 낮은 차단 주파수에서 수행된다 (0.7 ms의 샘플링 간격은 1.43 kHz의 샘플링 주파수에 해당한다. 이 값의 6분의 1은 0.24 kHz의 차단 주파수이다.) 0.7 ms마다 기록된 분석 결과는 의미 있는 주파수 성분을 완벽히 표현할 수 없더라도 낮은 주파수 성분의 가속도 데이터를 앨리어싱으로 인한 왜곡 없이 표현한다. 필터링은 피크 값의 추정치를 감소시킨다. 솔루션 노이즈만 제거될 때는 문제가 없지만, 물리적으로 의미 있는 솔루션 변동까지 제거되면 잘못된 결과가 발생할 수 있다.

 

주목해야 할 또 다른 문제는 0.7 ms마다 기록된 가속도의 결과에 시간 지연이 발생한다는 것이다. 이 시간 지연(또는 위상 시프트)은 모든 실시간 필터에 영향을 준다. 필터는 출력을 생성하기 위해 어느 정도의 입력이 필요하므로 필터링된 분석 결과에는 약간의 시간 지연이 발생한다. 모든 실시간 필터에 약간의 시간 지연이 도입된다. 필터의 컷오프 주파수가 낮을수록 시간 지연이 커진다. 필터는 더 낮은 주파수 성분을 제거하기 위해 더 긴 시간 폭에 걸쳐 입력이 필요하다. 필터의 차수를 늘리면 (내장된 2차 anti-aliasing 필터를 사용하지 않고 사용자 정의 필터를 만들 때) 출력 시간 지연이 증가한다.

 

실시간 필터링 기능은 신중하게 사용된다. 이 예에서 비교에 적합한 데이터가 없으면 과도하게 필터링된 데이터와 관련된 문제를 식별할 수 없었다. 일반적으로 Abaqus/Explicit는 최소한의 필터링을 사용하여 합리적인 수의 시간 지점에서 기록된 솔루션이 풍부하고 별칭이 없는 데이터를 출력 데이터베이스에 출력하는 것이 좋다. 추가 필터링이 필요한 경우 Abaqus/CAE에서 후처리 작업으로 수행할 수 있다.

 

이 절에서는 Abaqus/CAE Visualization 모듈을 사용하여 출력 데이터베이스에 기록된 가속도 이력 데이터를 필터링한다. Visualization 모듈에서 후처리 작업으로 필터링하면 Abaqus/Explicit에서 사용할 수 있는 실시간 필터링에 몇 가지 이점이 있다. Visualization 모듈을 사용하면 X-Y 데이터를 신속하게 필터링하고 결과를 표시할 수 있다. 필터링된 결과를 원래 결과와 비교하여 필터가 원하는 효과를 얻었는지 쉽게 확인할 수 있다. 이 기술을 사용하여 적절한 필터 변수를 반복적으로 신속하게 찾을 수 있다. 또한 Visualization 모듈의 필터는 분석 중에 적용되는 필터링으로는 피할 수 없는 시간 지연이 발생하지 않는다. 그러나 후처리 필터링에서는 출력이 적은 분석의 이력 출력을 보정할 수 없다. 데이터가 앨리어싱되거나 물리적으로 의미 있는 주파수가 제거되면 손실된 구성 요소를 후처리 작업으로 복원할 수 없다.

 

Visualization 모듈에서 필터링과 Abaqus/Explicit에서 필터링의 차이를 나타내기 위해서, 가장 낮은 위치에 있는 칩의 가속도를 Visualization 모듈로 필터링하고, 그 결과를, Abaqus/Explicit가 출력 데이터베이스에 써낸 필터링 데이터와 비교한다.

 

가속도 기록을 필터링하려면 다음과 같이 설정한다.

 

1. 결과 트리에서 절점 세트 Bot_Chip-all에 대한 가속도 A3의 기록 출력을 선택하고 A3-all로 데이터를 저장한다.

 

2. 결과 트리에서 XYData를 두 번 클릭한다. 그다음 Create XY Data 대화 상자에서 Operate on XY data를 선택한다. Continue를 클릭한다.

 

3. Operate on XY Data 대화 상자에서 출력 간격이 0.7 ms일 때 Abaqus/Explicit의 내장 anti-aliasing 필터에 적용되는 것과 동등한 필터 옵션으로 A3-all 필터링 예이다. 앞에서 언급했듯이 내장된 anti-aliasing 필터는 컷오프 주파수가 출력 샘플링 속도의 1/6이 되는 2차 Butterworth 필터이다. 따라서 대화 상자 상단의 산술식은 다음과 같다.

 

butterworthFilter( xyData="A3-all", cutoffFrequency=1/(6*0.0007) )

 

4. Plot Expression을 클릭하여 필터링된 가속도 곡선을 표시한다.

 

5. 결과 트리에서 절점 세트 Bot_Chip-largeInc에 대한 필터링된 가속도 A3_ANTIALIASING의 기록 출력을 마우스 버튼 3으로 클릭하고 표시된 메뉴에서 Add to Plot을 선택한다. 필요에 따라 절점 세트 Bot_Chip에 필터링된 가속도 기록을 추가할 수도 있다. X-Y 표시가 뷰포트에 표시된다. 이전과 마찬가지로 표시 방법을 사용자 정의하고 다음 그림과 같이 표시한다.

그림. Abaqus/Explicit과 Abaqus/Viewer로 필터링된 가속도 비교

 

위 그림에서 분석을 수행하는 동안 필터링할 때 발생하는 시간 지연은 Abaqus/CAE Visualization 모듈의 후처리 필터에서 발생하지 않음을 보여준다. 이것은 Visualization 모듈의 필터가 양방향성을 갖기 때문이다. 즉, 이 필터링은 먼저 전진 방향 경로(일부 시간 지연이 발생함)가 적용된 다음 후퇴 방향 경로(시간 지연이 제거됨)가 적용된다. Visualization 모듈의 양방향 필터링의 결과로 필터링이 두 번 적용되어 단일 경로 필터에서 신호 감쇠에 추가 신호 감쇠를 제공한다. 결과적으로 Visualization 모듈로 필터링된 가속 곡선의 국부적 인 피크는 Abaqus/Explicit로 필터링된 곡선보다 약간 작다.

 

Visualization 모듈의 필터링 기능에 대한 이해를 높이기 위해 Operate on XY Data 대화 상자로 돌아가 가속도 데이터를 다른 필터 옵션으로 필터링한다.

 

예를 들어 다른 컷오프 주파수를 사용해보자.

 

시간 증분 크기가 0.07인 내장된 anti-aliasing 필터에 대해 2.4 kHz 컷오프 주파수가 적절한지 확인할 수 있습니까? 컷오프 주파수를 6 kHz, 7 kHz, 10 kHz로 늘리면, 결과에 유의한 차이가 발생합니까?

 

컷오프 주파수를 어느 정도 늘려도 결과는 거의 영향을 받지 않는다. 이것은 2.4 kHz의 컷오프 주파수로 필터링할 때 물리적으로 의미 있는 주파수 성분을 놓칠 가능성이 거의 없음을 의미한다.

 

Butterworth 필터와 Chebyshev Type I 필터로 가속도 데이터를 필터링한 결과를 비교한다. Chebyshev 필터에는 리플 계수가 필요하다. 이 변수는 필터 응답을 개선하는 데 사용할 수 있는 진동을 허용하는 정도를 지정한다. Chebyshev Type I 필터의 경우 0.071의 리플 계수는 최대 0.5%의 리플을 허용하는 거의 평평한 통과 대역이다.

 

컷오프 주파수가 5kHz이면 필터 간에 큰 차이는 보이지 않지만 컷오프 주파수가 2kHz이면 어떨까요? Chebyshev Type I 필터의 차수를 늘렸을 때 어떻게 됩니까?

 

자신의 분석 결과를 다음 그림에 표시된 분석 결과와 비교한다.

그림. Butterworth 필터와 Chebyshev Type I 필터로 필터링된 가속도 비교

 

⊙ Abaqus/CAE의 기본 필터는 2차이다. 고차 필터를 정의하는 경우 butterworthFilter 연산자와 chebyshev1Filter 연산자에서 filterOrder 변수를 사용할 수 있다. 예를 들어, Operate on XY Data 대화 상자에서 다음 산술 방정식을 사용하여 2kHz 컷오프 주파수와 0.017 리플 계수를 사용하여 6차 ChebyshevType I 필터로 A3-all을 필터링한다.

 

chebyshev1Filter( xyData="A3-all", cutoffFrequency=2000,

rippleFactor= 0.017, filterOrder=6)

 

리플 계수가 0.071인 2차 Chebyshev Type I 필터는 비교적 약한 필터이다. 따라서 2kHz의 컷오프 주파수보다 높은 주파수 성분이 다소 제거되지 않고 남는다. 필터의 차수가 늘어나면, 필터의 응답은 Butterworth 필터에 가까운 결과를 얻을 수 있도록 개선된다.

 

회로 기판 칩 주위의 변형은 발포 포장재의 유효성 평가에 사용할 수 있는 또 다른 분석 결과이다. 칩 아래의 변형이 한계를 초과하면 칩을 기판에 고정하는 솔더가 파괴된다. 모든 방향에서 피크 왜곡을 확인한다. 이를 위해 최대와 최소의 주 로그 왜곡에 주목한다. 주요 변형은 비선형 연산자에서 얻은 많은 Abaqus 결과 중 하나이다. 이 예에서는 비선형 함수를 사용하여 개별 변형 성분에서 주변형을 계산한다. 비선형 연산자에서 파생된 다른 일반적인 결과는 주응력, Mises 응력, 등가 소성 변형률 등을 포함한다. 비선형 연산자는 (선형 연산자와 달리) 원래 결과의 주파수를 변경할 수 있으므로 비선형 연산자에서 파생된 결과를 필터링할 때는 주의해야 한다. 이 결과를 필터링하면 원하지 않는 결과가 발생할 수 있다. 예를 들어, 비선형 연산자를 적용하여 도입된 주파수 성분의 일부를 제거하면 필터링된 결과는 파생량을 왜곡시킨다. 일반적으로 비선형 연산자에서 파생된 양을 필터링하지 않거나 비선형 연산자를 사용하여 파생량을 계산하기 전에 원래 물리량을 필터링한다.

 

이 분석의 변형 이력 출력은 임베디드 anti-aliasing 필터를 사용하여 0.07ms마다 기록되었다.

 

anti-aliasing 필터가 메인 변형률의 결과를 왜곡하지 않는지 확인하기 위해 필터링된 변형률 성분을 사용하여 메인 로그 변형률을 계산하고 그 결과를 필터링된 메인 로그 변형률과 비교한다.

 

주 로그 왜곡을 계산하려면 다음과 같이 설정한다.

 

1. 가장 낮은 위치에 있는 칩 근처에 있는 세트 Bot_Board 내의 요소를 식별하기 위해(ODB 표시 옵션을 사용하여 질량 요소 표시), 요소 번호를 표시하여 회로 기판의 원형을 표시한다.

 

2. 결과 트리에서 *LE*Element #*를 사용하여 History Output을 필터링한다. 여기서 #은 가장 낮은 위치의 칩 근처에 있는 Bot_Board 세트의 요소 중 하나를 나타내는 번호이다. 요소의 SPOS 평면에서 로그 변형률 구성 요소 LE11을 선택하고 데이터를 LE11로 저장한다.

 

3. 마찬가지로, 같은 요소의 LE12과 LE22의 변형 성분도 LE12과 LE22로 저장한다.

 

4. 결과 트리에서 XYData를 두 번 클릭한다. 그다음 Create XY Data 대화 상자에서 Operate on XY data를 선택한다. Continue를 클릭한다.

 

5. Operate on XY data 대화 상자에서 저장된 로그 변형률 구성 요소를 사용하여 최대 주 로그 변형률을 계산한다. 대화 상자 상단에 산술식이 다음과 같이 표시된다.

 

(("LE11"+"LE22")/2) + sqrt( power(("LE11"-"LE22")/2,2) + power("LE12"/2,2) )

 

6. Save As를 클릭하여 계산된 최대 주 로그 왜곡을 LEP-Max로 저장한다.

 

7. Operate on XY Data 대화 상자에서 산술식을 편집하여 최소 주 로그 왜곡을 계산한다. 수정된 산술식은 다음과 같이 표시된다.

 

(("LE11"+"LE22")/2) - sqrt( power(("LE11"-"LE22")/2,2) + power("LE12"/2,2) )

 

8. Save As를 클릭하여 계산된 최소 주 로그 왜곡을 LEP-Min으로 저장한다. 계산된 주 로그 변형률을 분석 중에 기록된 변형률과 같은 Y축으로 표시하기 위해 Y값 종류를 변형률로 변경한다.

 

9. 결과 트리의 XYData 컨테이너에서 LEP-Max를 마우스 버튼 3으로 클릭하고 표시된 메뉴에서 Edit를 선택한다.

 

10. Edit XY Data 대화 상자에서 Y값 종류로 Strain을 선택한다.

 

11. 마찬가지로 LEP-Min을 편집하고 Y값 종류로 Strain을 선택한다.

 

12. 결과 트리를 사용하여 LEP-Man과 LEP-Min을 세트 Bot_Board의 같은 요소에 대한 분석 중에 기록된 주요 변형(LEP1과 LEP2)과 함께 표시한다.

 

13. 이전과 마찬가지로 표시 방법을 사용자 정의하여 다음 그림과 같이 표시한다. 실제 표시는 자신이 선택한 요소에 따라 다르다.

그림. 시간에 대한 주 로그 왜곡 값

 

위 그림에서 분석 중에 필터링되고 기록된 주 로그 왜곡 곡선은 필터링된 변형 성분에서 계산된 주요 로그 변형 곡선과 거의 일치한다는 것을 알 수 있다. 따라서 anti-aliasing 필터(컷오프 주파수 2.4 kHz)는 원래 왜곡 데이터에서 주 왜곡을 계산하기 위해 비선형 연산자에 의해 도입된 주파수 성분을 제거하지 않는다. 그다음 변형률 데이터를 낮은 컷오프 주파수 500 Hz로 필터링한다.

 

주 로그 왜곡을 컷오프 주파수 500 Hz로 필터링하려면 다음과 같이 설정한다.

 

1. 결과 트리에서 XYData를 두 번 클릭한다. 그다음 Create XY Data 대화 상자에서 Operate on XY Data를 선택한다. Continue를 클릭한다.

 

2. Operate on XY Data 대화 상자에서 컷오프 주파수가 500 Hz인 2차 Butterworth 필터를 사용하여 최대 주 로그 왜곡 LEP-Max를 필터링한다. 대화 상자 상단에 산술식은 다음과 같이 표시된다.

 

butterworthFilter(xyData="LEP-Max", cutoffFrequency=500)

 

3. Save As를 클릭하여 계산된 최대 주 로그 변형률을 LEP-Max-FilterAfterCalc-bw500으로 저장한다.

 

4. 마찬가지로 컷오프 주파수가 500 Hz인 같은 2차 Butterworth 필터를 사용하여 로그 변형 성분 LE11, LE12, LE22를 필터링한다. 결과 곡선은 LE11-bw500, LE12-bw500, LE22-bw500으로 각각 저장된다.

 

5. 그다음 필터링된 로그 변형률 구성 요소를 사용하여 최대 메인 로그 변형률을 계산한다. Operate on XY Data 대화 상자의 맨 위에 산술식이 다음과 같이 표시된다.

 

(("LE11-bw500"+"LE22-bw500")/2) + sqrt(power(("LE11-bw500"-"LE22-bw500")/2,2) + power("LE12-bw500"/2,2) )

 

6. Save As를 클릭하여 계산된 최대 주 로그 변형률을 LEP-Max-CalcAfterFilter-bw500으로 저장한다.

 

7. 결과 트리의 XYData 컨테이너에서 LEP-Max-CalcAfterFilter-bw500을 마우스 버튼 3으로 클릭하고 표시된 메뉴에서 Edit을 선택한다.

 

8. Edit XY Data 대화 상자에서 Y값 종류로 Strain을 선택한다.

 

9. LEP-Max-CalcAfterFilter-bw500과 LEP-Max-FilterAfterCalc-bw500을 다음 그림과 같이 표시한다. 이전과 마찬가지로 실제 표시는 자신이 선택한 요소에 따라 다르다.

그림. 필터링이 계산 전과 후인 경우의 주 로그 왜곡(컷오프 주파수 500Hz)

 

위 그림에서 왜곡 데이터 필터링이 주 변형률 계산 전후에 수행될 때 차이가 있음을 알 수 있다. 비선형 주응력 연산자를 적용하여 도입된 주파수 성분 일부가 필터의 컷오프 주파수 500 Hz보다 높아서 주변형을 계산한 후 필터링된 곡선이 변형된다. 일반적으로 비선형 연산자에서 파생된 양을 직접 필터링하는 것은 피하는 것이 좋다. 가능한 한 먼저 원래 구성 요소를 필터링한 다음 비선형 연산자를 필터링된 구성 요소에 적용하여 원하는 파생량을 계산한다.

 

일반적으로 Abaqus/Explicit에서 증분별 출력을 기록하면 필요한 것보다 많은 양의 데이터가 생성된다. 실시간 필터링 기능을 사용하면 앨리어싱으로 결과의 왜곡을 발생시키지 않고 낮은 주파수에서 이력 출력을 요청할 수 있다. 그러나 출력 빈도와 필터링은 물리적으로 의미 있는 주파수 성분을 제거하거나 결과를 왜곡하거나 일이 없도록 선택해야 한다. 후처리 필터링은 분석 중에 필터로 제거된 주파수 성분을 복원하거나 앨리어싱된 데이터에서 원래 신호를 복원할 수 없다. 또한 비교를 위한 추가 데이터를 준비할 수 없는 경우 결과를 지나치게 필터링하거나 별칭을 지정해도 판별하기가 어렵다. 상대적으로 높은 출력 빈도를 선택하고 Abaqus/Explicit 필터를 사용하여 이력 출력의 앨리어싱을 방지하는 것이 좋다. 이렇게 하면 유효하고 충분한 양의 결과가 출력 데이터베이스에 기록된다. 또한 2, 3곳의 중요한 위치에 대해 증분 단위로 출력을 요청할 수 있다. 분석이 완료되면 Abaqus/CAE 후처리 도구를 사용하여 추가 필터링을 필요한 만큼 신속하게 반복적으로 적용할 수 있다.

반응형
반응형

 

그다음 모델링 고려 사항으로 서피스 정의, 과도 구속, 요소망 개선, 초기 침투에 관해 설명한다.

 

1) 올바른 서피스 정의

각 접촉 알고리즘에 사용할 표면을 정의할 때 따라야 할 몇 가지 규칙이 있다. 접촉에 사용할 수 있는 표면 종류에 대한 제약은 일반 접촉 알고리즘이 적다. 그러나 2차원 절점 서피스는 접촉 쌍 알고리즘에서만 사용할 수 있다.

 

일반 접촉 알고리즘에 사용되는 서피스는 여러 개의 분리된 물체 사이에 걸쳐있을 수 있다. 3개 이상의 서피스 소평면이 하나의 모서리를 공유할 수 있다. 반면에 접촉 쌍 알고리즘에 사용되는 모든 표면은 연속적이고 단순 결합해야 한다. 이 연속성 요구 사항에서 접촉 쌍 알고리즘의 서피스 정의에서 유효한 것과 유효하지 않은 것은 다음과 같이 결정된다.

 

  • 2차원에서 서피스는 두 개의 끝점이 있는 교차하지 않는 간단한 곡선이거나 닫힌 고리여야 한다. 다음 그림은 유효한 2D 서피스와 잘못된 2D 서피스의 예이다.

그림. 접촉 쌍 알고리즘에 유효한 2D와 무효 2D 표면

  • 3차원에서 서피스에 속한 요소 서피스의 측면은 서피스의 외주에 있거나 다른 요소 서피스와 공유되어야 한다. 요소 서피스는 하나의 절점만으로 연결되어서는 안 되며 공통 측면에 연결되어야 한다. 요소의 한 가장자리는 3개 이상의 서피스에 속할 수 없다. 다음 그림은 유효한 3D 서피스와 잘못된 3D 서피스의 예이다.

그림. 접촉 쌍 알고리즘에서 사용하는 서피스

  • 또한 3차원의 양쪽에 표면이 있는 서피스를 정의할 수 있다. 이 경우 다음 그림과 같이 Shell 요소, Membrane 요소와 강체 요소의 양쪽 면이 같은 표면 정의에 포함된다.

그림. 유효한 양면에 면이 있는 서피스

 

Abaqus/Explicit의 서피스는 사용자가 정의한 서피스의 경계를 넘어 자동으로 확장되지 않는다. 한쪽 표면의 절점이 다른 표면과 접촉하고 표면을 미끄러져 가장자리에 도달하면 절점은 ‘모서리에서 떨어질 수 있다’. 떨어진 절점은 서피스의 뒷면에 들어갈 수 있으며, 그렇게 되면 운동학적 구속이 깨지고 그 절점의 가속도가 급격히 증가하기 때문에 이런 거동은 큰 문제가 될 수 있다. 따라서 실제로 접촉이 발생하는 영역의 약간 바깥쪽으로 표면을 연장하는 것이 좋은 모델링 방법이다. 일반적으로 접촉하는 물체는 각각을 표면으로 완벽히 덮는 것이 좋다. 그것에 의해 추가되는 계산량은 적다.

 

다음 그림은 6면체 요소로 구성된 두 개의 상자 모양의 물체를 보여준다. 상단 상자는 상자의 윗면에만 접촉면을 정의한다. 이것은 Abaqus/Explicit에서 문제가 될 것이 없는 표면 정의이지만 ‘그대로의 가장자리’에서 바깥쪽으로 연장되지 않기 때문에, 문제가 될 수 있다. 하단 상자에서는 표면이 측면 벽의 중간까지 덮여 있으며, 결과적으로 평평한 상부 표면이 연장된다. 이 상자의 윗면에서만 접촉이 발생하면 이 연장된 표면의 정의는 접촉 절점이 접촉면의 뒷면에 들어가지 않으므로 접촉 문제를 최소화한다.

그림. 서피스 외주

 

다음 그림과 같이 같은 좌표에 있는 두 개의 절점(이중 절점)은 연속으로 보이는 효과적인 표면에 이음새와 틈새를 만들 수 있다. 이 표면을 따라 미끄러지는 절점은 이 틈새를 통과하여 접촉면의 뒷면으로 미끄러질 수 있다. 이 침투가 감지되면 비물리적인 만큼 큰 가속도 수정이 발생할 수 있다. Abaqus/CAE로 정의된 서피스는 같은 좌표에 두 개의 절점이 배치되지 않는다. 그러나 가져온 요소망에는 이중 절점이 있을 수 있다. 요소망의 이음새는 Visualization 모듈에서 모델의 자유 모서리를 그려서 감지할 수 있다. 원래 경계선 이외의 이음새는 이중 절점이 있는 영역의 가능성이 크다.

그림. 2중 절점이 있는 요소망

 

다음 그림은 두 부분의 단순 접합의 2차원 모델을 보여준다. 이 그림에 표시된 접촉 정의는 표면에 의한 이런 물체 형상의 표현이 완전하지 않기 때문에 이 접합을 만들려면 충분하지 않다. 해석이 시작되면 서피스 3의 일부 절점은 서피스 1과 2의 ‘뒷면’에 있다.

그림. 잘못된 표면 정의 예

 

다음 그림은 이 접합에 대한 적절한 표면 정의이다. 이 표면은 연속적이며, 접촉하는 물체의 완전한 모양을 나타낸다.

그림. 올바른 서피스 정의

 

일반 접촉 알고리즘에서 왜곡된 표면에 특별한 조치가 필요하지 않다. 반면에 접촉 쌍 알고리즘에 사용되는 표면에 크게 왜곡된 작은 평면이 포함되었을 때 표면에 작은 평면이 포함되어 있지 않은 경우보다 계산량이 많은 추적 방법을 사용해야 한다. 가능한 한 계산 효율을 유지하려면 Abaqus는 서피스 왜곡을 모니터링하고, 서피스가 과도하게 왜곡되면 경고를 출력한다. 구체적으로 인접한 작은 평면 사이의 법선 방향 편차가 20°를 초과하면 Abaqus는 경고 메시지를 출력한다. 표면이 크게 왜곡된 것으로 간주하면 Abaqus는 효율적인 접촉 탐색 방법에서 정확한 탐색 방법으로 전환하여 크게 왜곡된 표면으로 인한 문제에 해당한다.

 

효율성을 높이기 위해 Abaqus는 특정 증분으로 서피스가 크게 왜곡되었는지 확인한다. 견고한 표면은 해석 중에 모양이 변경되지 않으므로 해석을 시작할 때만 왜곡을 확인한다. 변형할 수 있는 서피스는 기본적으로 20 증분마다 왜곡을 검사한다. 하지만 해석에 따라 표면의 왜곡이 빠르게 커질 수 있으므로 기본 20 증분의 빈도로 검사가 불충분할 수 있다. 이 왜곡 검사의 빈도는 임의의 증분 수로 변경할 수 있다. 또한 표면의 왜곡이 20° 미만인 해석에서도 왜곡이 큰 표면에 대한 정확한 접촉 탐색 방법이 필요할 수 있다. 이 큰 왜곡을 결정하는 각도는 재정의될 수 있다.

 

복잡한 강성 표면의 모양은 강체 요소를 사용하여 만들 수 있다. Abaqus/Explicit의 강체 요소는 스스로 매끄럽게 만들지 않는다. 이 요소는 사용자가 정의한 면을 정확하게 유지한다. 매끄럽게 만들지 않은 서피스의 장점은 사용자 정의 서피스가 Abaqus가 사용하는 서피스와 정확히 같다는 것이다. 단점은 매끄러운 물체를 정확하게 정의하기 위해 작은 평면으로 구성된 표면을 매우 미세한 요소망으로 나누어야 한다는 것이다. 일반적으로 많은 강체 요소를 사용하여 강체 표면을 정의해도 CPU 비용이 많이 증가하지 않는다. 그러나 강체 요소가 많으면 메모리 오버헤드가 많이 증가한다.

 

강체의 곡면 형상은 적당히 미세하게 이산화되어야 한다. 다음 그림과 같이 강체의 이산화가 너무 거칠면 접촉하는 변형의 절점이 ‘걸리기(snag)’되어 잘못된 결과를 초래할 수 있다.

그림. 강체의 이산화가 거친 경우에 발생할 수 있는 문제

 

날카로운 모서리에 걸린 절점은 잠깐 거기에 잡혀 강체 표면을 미끄러지지 않는다. 절점이 날카로운 모서리를 넘어서 필요한 에너지가 해제되면, 절점은 인접한 작은 평면과 접촉하기 전에 순간적으로 크게 움직인다. 이런 운동은 해를 진동시킨다. 강체 표면을 더 미세하게 나누면, 접촉하는 Slave 절점의 운동도 더 매끄러워진다. 일반 접촉 알고리즘에서 피처는 수치로 반올림되고 절점의 구부러짐은 이산화 강체 표면의 문제가 되지 않는다. 또한 페널티 법에 따른 접촉 구속조차도 구부러지는 경향이 감소한다. 압출 단면 형상 또는 회전 표면의 형상을 갖는 강체의 경우, 일반적으로 해석 강체 표면이 접촉 쌍 알고리즘과 함께 사용된다.

 

2) 모델의 과잉 구속

주어진 절점에 여러 개의 불일치 경계 조건을 정의해서는 안 된다. 또한 일반적으로 다점 구속과 운동학적 방법으로 주어진 접촉 조건은 모순된 운동학적 구속을 일으킬 수 있으므로 같은 절점에 정의되어서는 안 된다. 이런 구속이 서로 직교하지 않으면 모델이 과도하게 구속된다. 이 경우 Abaqus/Explicit는 불일치한 구속조건을 충족시키려 하므로 노이즈가 많은 해를 얻을 수 있다. 페널티 접촉 구속은 다점 구속만큼 정확하게 주어지지 않으므로 페널티 접촉 구속과 다점 구속이 같은 절점에 작용하더라도 불일치가 발생하지 않는다.

 

3) 요소망 개선

접촉 해석에서 다른 해석과 마찬가지로 요소망을 미세하게 만들면 해가 개선된다. 순수한 Master/Slave 방법을 사용한 접촉 해석에서, Master 표면의 작은 평면이 Slave 표면에 과도하게 침투하지 않도록 Slave 표면을 적당히 미세하게 나누는 것이 특히 중요하다. 균형 잡힌 Master/Slave 방법은 특히 Slave 표면을 미세하게 나누지 않아도 접촉 조건을 충분히 적용한다. 일반적으로 요소망을 미세하게 만드는 것은 변형체와 강체 사이에서 순수한 Master/Slave를 접촉할 때 가장 중요하다. 이 경우 변형은 항상 순수한 Slave 표면이므로 강체의 모든 부분과 적절한 상호 작용을 보장하기 위해 요소망을 미세 조정해야 한다. 그림 12.62는 Master 표면의 치수와 비교하여 Slave 표면의 이산화가 충분하지 않을 때 발생할 수 있는 침투의 예이다. 변형할 수 있는 표면이 미세하게 분할되면 이 강체 표면의 침투가 상당히 줄어든다.

 

결합(Tie) 구속은 처음부터 접촉하는 표면이 서로 침투, 분리와 미끄러지는 것을 방지한다. 따라서 요소망을 쉽게 개선할 수 있는 수단으로 사용할 수 있다. 두 표면 사이에 작아도 틈이 있으면 절점이 상대 경계에 결합하지 않으므로 해석을 시작할 때 두 표면이 정확하게 접촉할 수 있도록 절점을 조정해야 한다.

 

결합 구속의 공식은 이동 자유도와 필요한 경우 회전 자유도를 구속한다. 구조 요소가 결합 접촉을 사용하면 구속되지 않은 회전이 문제를 일으키지 않도록 해야 한다.

그림. 불충분한 Slave 면의 이산화

4) 초기 접촉 침투

 

Abaqus/Explicit는 접촉면 절점의 원형 좌표를 자동으로 조정하여 모든 초기 침투를 제거한다. 균형 잡힌 Master/Slave 방법을 사용하면 두 표면이 모두 조정된다. 순수한 Master/Slave 방법을 사용하면 Slave 표면만 조정된다. 침투를 제거하기 위해 서피스를 조정한 변위는 해석의 첫 번째 단계에서 정의된 접촉에 대해 초기 변형이나 초기 응력을 일으키지 않는다. 불일치 구속조건이 존재하면 초기 침투는 절점 재배치로 완벽히 제거되지 않을 수 있다. 이 경우 접촉 쌍 알고리즘을 사용하면 해석을 시작하자마자 요소망이 크게 왜곡될 수 있다. 일반 접촉 알고리즘은 큰 초기 가속도를 피하려고 미해결된 모든 초기 침투량을 오프셋으로 저장한다.

 

후속 단계에서 초기 침투를 제거하는 절점 조정이 있으면 변형이 발생한다. 이 절점 조정은 하나의 매우 짧은 증분에서 완벽히 수행되므로 요소망이 크게 왜곡되는 경우가 많다. 이것은 운동학적 구속 방법을 사용하는 경우 특히 그렇다. 예를 들어, 절점이 1.0×10⁻³ m까지 침투하고, 증가 시간이 1.0×10⁻⁷s인 경우, 침투를 수정하려면 절점에 적용하는 가속도는 2.0×10¹¹ m/s²이다. 일반적으로 이런 큰 가속도가 하나의 절점에 적용하면 변형률 속도가 재료의 소밀파 속도를 초과한다는 경고가 발생하고, 수 증가 후 관련 요소가 크게 변형되면 요소망이 크게 왜곡된다는 경고가 발생한다. 운동학 접촉은 매우 적은 초기 침투에서도 매우 큰 가속을 초래할 수 있다. 일반적으로 두 번째 단계 이후에 새로 정의된 접촉면에 침투가 발생하지 않도록 하는 것이 중요하다.

 

다음 그림은 두 접촉면의 초기 침투에서 자주 볼 수 있는 예이다. 각 접촉면의 모든 절점은 같은 원호에 정확하게 존재한다. 그러나 내부 표면의 요소망이 외부 표면의 요소망보다 미세하고 요소 가장자리가 선형이므로 미세한 내부 표면에 있는 일부 절점은 처음부터 외부 표면에 침투한다.

그림. 두 접촉면의 원래 침투

 

순수한 Master/Slave 방법을 사용한다고 가정하면 다음 그림은 Abaqus/Explicit가 Slave 표면의 절점에 발생하는 변형을 일으키지 않는 초기 변위를 보여준다. 외부 하중이 없으면 이 모양은 무응력 상태이다. 기본 균형 Master/Slave 방법을 사용하면 변위의 초기 설정이 다르며 결과 요소망은 완전한 응력 상태가 되지 않는다.

그림. 수정된 접촉면

반응형
반응형

 

Abaqus/Explicit는 접촉 상호 작용을 만들기 위해 두 가지 알고리즘을 제공한다. 일반(자동) 접촉 알고리즘은 사용되는 표면 종류에 거의 제한이 없으며, 접촉을 매우 쉽게 정의할 수 있다. 접촉 쌍 알고리즘은 가끔 사용하는 표면의 종류에 더 많은 제약이 있으므로 더욱 신중하게 접촉을 정의해야 한다. 하지만 이 알고리즘을 사용하면 현재 일반 접촉 알고리즘에서 지원할 수 없는 몇 가지 상호 작용 특성을 다룰 수 있다. 일반 접촉 상호 작용은 일반적으로 모델의 모든 객체를 포함하여 Abaqus/Explicit가 자동으로 정의하는 기본 요소 서피스에 자체 접촉을 지정하여 정의한다. 접촉 영역을 좁히기 위해 특정 표면 쌍을 포함하거나 제거할 수 있다. 접촉 쌍 상호 작용은 상호 작용하는 접촉 쌍을 개별적으로 지정함으로써 정의된다.

 

Abaqus/Explicit 접촉의 공식은 구속을 계산하는 방법, 접촉면을 가중하는 방법과 미끄럼 공식을 포함한다.

 

Abaqus/Explicit의 일반적인 접촉은 표면에 대한 절점의 침투와 가장자리의 침투를 현재 배치에서 탐색하고, 접촉의 제약은 페널티 방법을 사용하여 수행한다. 접촉력을 침투 거리와 연관시키는 페널티 강성은 시간 증분에 미치는 영향을 최소화하고 침투량을 무시할 수 있도록 Abaqus/Explicit가 자동으로 선택한다.

 

접촉 쌍 알고리즘은 예측자/수정자 방법을 사용하여 접촉 조건을 정확하게 준수하는 운동학적 접촉의 공식을 기본적으로 사용한다. 첫 번째 증분은 접촉이 일어나지 않는다고 가정하여 계산한다. 증분이 끝날 때 침투가 있으면 접촉 구속이 작용하는 올바른 배치를 얻어지도록 가속도를 수정한다.

 

접촉 쌍에 대한 법선 방향의 접촉 구속은 필요한 경우 페널티 접촉 방법에 따라 제공될 수 있다. 이것은 운동학적 방법으로는 불가능한 몇 가지 접촉 종류를 만들 수 있다. 예를 들어, 페널티 방법을 사용하면 두 강체 표면 사이의 접촉을 만들 수 있다(양쪽 표면이 해석용 강체 표면인 경우 제외). 페널티 방법에 따라 접촉 공식을 사용하면, 페널티 강성에 침투 거리를 곱한 값과 같은 접촉력이 침투 위치에서 Master 절점과 Slave 절점에 각각 반대 방향으로 작용한다. 페널티 강성은 Abaqus/Explicit에서 자동으로 선택하며 일반 접촉 알고리즘에서 사용하는 것과 유사하다. 서로 다른 표면 사이의 접촉 상호 작용에 대한 페널티 강성은 페널티 배율 또는 ‘매끄러운’ 접촉 관계를 지정하여 변경할 수 있다.

 

순수한 Master/Slave 방법을 사용하면 한쪽 표면이 Master 표면에, 나머지는 Slave 표면이다. 두 물체가 접촉하면 침투가 감지되고, 구속 계산 방법(운동학 또는 페널티)에 따라 접촉 구속이 적용된다. 순수한 Master/Slave 가중치는 (구속을 계산하는 방법과 관계없이) Master 서피스에 Slave 절점을 침투하는 것에 저항한다. 다음 그림과 같이 Slave 서피스의 요소망이 아주 미세하지 않으면 Slave 서피스에 대한 Master 절점의 침투가 감지되지 않을 수 있다.

그림. 순수한 Master/Slave 접촉에서 Slave 표면에 Master 절점 관통

 

균형 잡힌 Master/Slave의 접촉은 순수한 Master/Slave 방법을 두 번 적용하고, 두 번째의 경우 Master와 Slave의 역할을 반전시킨다. 첫 번째 접촉 구속에서 서피스 1은 Slave가 되고, 두 번째 구속에서 서피스 2가 Slave가 된다. 운동학적으로 균형 잡힌 Master/Slave 접촉에서 두 번째 수정은 나머지 모든 침투를 제거하는 데 필요하다. 운동학적 방법을 사용한 균형 잡힌 Master/Slave의 접촉 제한은 다음 그림에 나와 있다.

그림. 운동학적 방법으로 균형 잡힌 Master/Slave의 접촉 제한

 

균형 잡힌 방법은 접촉하는 물체 사이의 침투를 최소화하고 결과적으로 대부분 문제에서 더 정확한 결과를 제공한다.

 

일반 접촉 알고리즘은 가능한 한 균형 잡힌 Master/Slave 가중 방법을 사용한다. 그러나 항상 순수한 Slave 표면이 되는 절점 서피스를 사용하는 경우 순수한 Master/Slave 가중 방법을 사용한다. 접촉 쌍 알고리즘에서 주어진 접촉 쌍에 어떤 종류의 가중 방법을 사용할지는 사용되는 두 개 서피스의 특성과 사용된 구속조건을 계산하는 방법에 따라 결정된다.

 

서로 다른 표면 사이의 접촉 상호 작용을 정의할 때 상대 미끄럼 양이 미세한지 또는 유한한지 결정해야 한다. 기본값(일반 접촉 상호 작용의 경우 유일한 옵션)은 더 일반적인 유한 미끄럼 공식이다. 두 표면 사이의 상대 운동이 요소 표면의 특성 길이에 비해 약간의 양일 때 미세 미끄럼 공식을 사용하는 것이 좋다. 적용할 수 있는 경우 미세 미끄럼 공식을 사용하면 분석이 효율적이다.

반응형
반응형

 

대부분 에너지 출력은 Abaqus/Explicit 해석의 중요한 부분이다. 다양한 에너지 성분을 비교하면 해석이 적절한 응답인지 여부를 평가하는 데 도움이 된다.

1) 에너지 균형 정의

전체 모델의 에너지 균형은 다음과 같다.

 

$$ E_I + E_V + E_{FD} + E_{KE} + E_{IHE} - E_W $$

 

$$ - E_{PW} - E_{CW} - E_{MW} - E_{HF} = E_{total} = constant $$

 

여기서 $E_I$는 내부 에너지, $E_V$는 분산되는 점성 에너지, $E_{FD}$는 분산되는 마찰에너지, $E_{KE}$는 운동 에너지, $E_{IHE}$는 내부 열에너지, $E_W$는 작용한 외부 하중이 한 일, $E_{PW}$, $E_{CW}$, $E_{MW}$는 접촉 페널티, 구속 페널티, 추가된 질량 운동으로 이루어진 작업이다. $E_{HF}$는 외부 유속으로부터 외부 열에너지이다. 이 에너지 성분의 합계는 $E_{total}$이고, 일정해야 한다. 수치 모델 $E_{total}$에서 근사적으로 일정하다. 일반적으로 1% 미만의 오차가 있다.

 

내부 에너지는 회복할 수 있는 탄성 변형 에너지($E_E$), 소성 등의 비탄성 변형으로 분산되는 에너지($ E_P $), 점탄성이나 크리프로 분산되는 에너지($ E_{CD} $), 인공적인 변형률 에너지($E_A$), 손상으로 분산되는 에너지($ E_{DMD} $), 왜곡 제어로 분산되는 에너지($ E_{DC} $), 유체 캐비티 에너지($ E_{FC} $)가 있다.

 

$$ E _{I} = E _{E} +E _{P} +E _{CD} +E _{A} + E _{DMD} + E _{DC} +E _{FC} $$

 

인공 변형률 에너지는 Hourglass 저항력과 Shell 요소와 요소의 가로 전단력으로 축적된 에너지가 포함된다. 인공 변형률 에너지의 값이 큰 경우 요소망 세분화와 같은 요소망 수정이 필요하다.

 

점성 에너지는 감쇠 메커니즘에 의해 분산된 에너지이며, 체적 점성 감쇠와 재료 감쇠를 포함한다. 전체 에너지 균형의 기본 변수 중 하나인 점성 에너지는 점탄성과 비탄성 변형으로 분산된 에너지에 포함되지 않는다.

 

외부 작업은 지속해서 전방으로 적분 되며, 절점력(모멘트)과 변위(회전)로 완벽히 정의된다. 또한 지정된 경계 조건도 외부 작업에 이바지한다.

 

2) 에너지 밸런스 출력

각 에너지의 양은 출력을 요청할 수 있으며, 전체 모델, 특정 파트 세트 또는 개별 요소에서 합한 값의 시간 기록 또는 각 요소의 에너지 밀도로 표시할 수 있다. 전체 모델 또는 요소 세트에서 합한 에너지의 양은 표 9.2에 나열된 변수 이름과 일치한다.

 

표 . 전체 모델의 에너지 출력 변수

변수명 에너지양
ALLIE 내부 에너지 ($E_I$ ): ALLIE=ALLSE+ALLPD+ALLCD+ALLAE+ALLDMD+ALLDC+ALLFC
ALLKE 운동 에너지 $E_{KE}$
ALLVD 점성 분산 에너지 $E_{V}$
ALLFD 마찰 분산 에너지 $E_{FD}$
ALLCD 점탄성에 의한 분산 에너지 $E_{CD}$
ALLWK 외력 일 $E_{W}$
ALLPW 접촉 페널티로 한 일 $E_{PW}$
ALLCW 구속 페널티로 한 일 $E_{CW}$
ALLMW 추가된 질량 운동으로 한 일 ( 질량 스케일링에 의한 ) $E_{MW}$
ALLSE 탄성 변형률 에너지 $E_{E}$
ALLPD 비탄성 분산 에너지 $E_{P}$
ALLAE 인공 변형률 에너지 $E_{A}$
ALLIHE 내부 열에너지 $E_{IHE}$
ALLHF 외부 플럭스로부터 외부 열에너지 $E_{HF}$
ALLDMD 손상으로 분산된 에너지 $E_{DMD}$
ALLDC 왜곡 제어로 분산된 에너지 $E_{DC}$
ALLFC 유체 공동 에너지 ( 유체 공동에서 한 일의 음수 ) $E_{FC}$
ETOTAL 에너지 균형 $E_{TOT}$

 

또한 Abaqus/Explicit 는 다음 표 에 나열된 요소 수준의 에너지 출력과 에너지 밀도 출력을 수행할 수 있다 .

 

표 . 전체 요소의 에너지 출력 변수

변수 이름 전체 요소의 에너지양
ELSE 탄성 변형률 에너지
ELPD 소성 분산된 에너지
ELCD 크리프 분산 에너지
ELVD 점성 분산 에너지
ELASE 인공 에너지 = 드릴 에너지 + Hourglass 에너지
EKEDEN 요소 안의 운동 에너지 밀도
ESEDEN 요소 안의 탄성 변형률 에너지 밀도
EPDDEN 요소 안의 소성 분산 에너지 밀도
EASEDEN 요소 안의 인공 변형 에너지 밀도
ECDDEN 요소 안의 크리프 분산 에너지 밀도
EVDDEN 요소 안의 점성 분산 에너지 밀도
ELDMD 손상으로 인한 요소 안의 분산 에너지
반응형
반응형

 

이 예제에서 이전에 ‘Abaqus 기초’에서 설명한 외연적 동역학의 몇 가지 기본 아이디어를 설명한다. 또한 안정 한계와 해석 시간에 대한 요소망 분할과 재료 특성의 영향을 설명한다. 이 막대는 다음 그림과 같다.

그림. 막대의 응력파 전파의 개략도

 

문제를 1차원 변형 문제로 만들기 위해 네 가지 측면 모두 롤러가 있다. 따라서 이 3차원 모델은 1차원 문제를 해석한다. 재료는 위 그림에 표시된 특성을 가진 강철이다. 막대의 자유 단은 1.0×105Pa의 크기와 3.88×10-5초의 지속 시간을 갖는 폭발 하중을 받는다. 정규화된 하중 크기는 다음 그림과 같다.

그림. 폭발 하중의 크기 vs. 시간

1) 전처리

이 예제는 Solid 돌출 기능으로 3차원 변형체를 만든다. 먼저 막대의 2차원 단면 형상을 스케치한 다음 단면 형상을 밀어낸다. 파트를 만들려면 다음과 같이 설정한다.

 

1. 새 파트 바를 만들고 Create Part 대화 상자에서 기본 설정인 3차원 변형체와 Solid 돌출 기본 기능을 그대로 사용한다. 0.5의 근사 크기를 모델에 사용한다.

 

2. 다음 그림에 표시된 치수를 사용하여 막대의 단면 모양을 스케치한다. 

그림. 직사각형 단면(그리드 간격 2배)

 

예를 들어, 다음 방법을 사용할 수 있다. Create Lines : Rectangle 도구를 사용하여 원점을 중심으로 사각형을 만든다. 단면이 높이 0.20m×너비 0.20m가 되도록 스케치에 치수를 입력한다. 단면 모양의 스케치가 완료되면 프롬프트에서 Done을 클릭한다. Edit Base Extrusion 대화 상자가 나타난다. 파트를 완성하려면 단면 모양을 밀어내는 거리를 입력해야 한다. 대화 상자에서 1.0m의 돌출 깊이를 입력한다.

 

⊙ 스케치 평면의 원점을 통과하는 수평과 수직 고정 구조선을 작성하고 적절한 형상 구속을 스케치에 제공한다.

 

3. 모델을 모델 데이터베이스 파일 Bar.cae에 저장한다.

 

질량 밀도가 7,800kg/m3, 영률이 207E9 Pa, 푸아송의 비가 0.3인 단일 선형 탄성 재료 Steel을 만든다. 재료를 Steel로 만든 solid, homogeneous 요소 특성 정의 Bar Section을 만든다. 요소 특성 정의 Bar Section을 전체 부분에 지정한다.

 

막대의 Instance 만든다. 이 모델은 기본적으로 전체 세 번째 축이 막대의 길이 방향이 되도록 방향이 지정된다.

 

다음 그림과 같이 형상 세트 TOP, BOT, FRONT, BACK, FIX, OUT을 만든다(세트 OUT에는 그림에 굵은 선으로 표시된 모서리가 포함된다). 그림과 같이 서피스 LOAD를 만든다. 나중에 이 영역은 하중과 경계 조건 적용과 출력 요청 정의에 사용된다.

그림. 세트
그림 9.5 서피스

 

단일 동적 외연적 단계 Blast Load를 만든다. 단계 설명에 Apply pressure load pulse를 입력하고, 시간 폭을 2.0E-4초로 설정한다. Edit Step 대화 상자에서 Other 탭을 클릭한다. 가능한 한 응력파의 날카로움이 유지되도록 Quadratic bulk viscosity parameter를 ‘0’으로 설정한다.

 

단계 Blast Load의 경우 사전 선택된 필드 데이터가 출력 데이터베이스에 4개로 나눈 시간 간격으로 기록되도록 기본 필드 출력 요청을 편집한다.

 

기존 기본 이력 출력 요청을 삭제하고 새 이력 출력 요청을 만든다. Create History Output 대화 상자에서 기본 이름인 H-Output-1을 그대로 사용하고 Blast Load 단계를 선택한다. Continue를 클릭한다. Domain 필드 옆의 화살표를 클릭하고, Set을 선택하고 OUT을 선택한다. Output Variables 영역에서 Stresses의 왼쪽에 있는 삼각형을 클릭한다. S, Stress components and invariants 왼쪽에 있는 삼각형을 클릭하여 S33 변수를 켠다. 이것은 막대의 축 방향 응력 성분이다. 출력이 모든 증분에서 저장되도록 지정한다.

 

경계 조건 Fix right end를 작성하고 막대의 오른쪽 가장자리(기하 형상 세트 FIX)를 세 방향으로 구속한다. 추가 경계 조건을 작성하여 상단, 하단, 전면, 후면은 각 면의 법선 방향으로 구속한다(세트 FRONT와 BACK은 1방향, 세트 TOP과 BOT는 2방향).

 

폭발 하중은 최댓값으로 바로 적용되며 3.88×10-5초 동안 일정하게 유지된다. 그다음 하중은 바로 제거되고 ‘0’으로 유지된다. 다음 그림에 표시된 데이터를 사용하여 시간 변화 정의 Blast를 만든다. 이 예에서 주어진 시간의 압력 하중은 지정된 압력 하중의 크기에 시간 변화 곡선에서 보간(補間)한 값을 곱한 값이다.

그림. 폭발 하중의 시간 변화 정의 테이블 형식 데이터

 

압력 하중 Blast load를 생성하고 하중이 적용되는 단계에서 Blast Load를 선택한다. 이 하중을 서피스 LOAD에 적용한다. 분포에 Uniform을 선택하고, 하중 크기에 1.0E5 Pa의 값을 지정하고, 시간 변화에 Blast를 선택한다.

 

재료 특성(푸아송의 비는 무시)을 사용하여 이전에 설명한 방정식을 사용하여 재료의 소밀파 속도를 계산할 수 있다.

 

$$ c_d = \sqrt{E \over \rho} = \sqrt{207 \times 10^9 Pa \over 7800 kg/m^3} = 5.15 \times 10^3 m/s $$

 

이 속도는 응력파가 1.94×10-4초로 막대의 고정단까지 도달한다. 시간이 지나면서 막대의 길이 방향으로 응력이 전파하는지 확인한다. 따라서 응력파가 정확하게 포착되는 충분히 미세한 요소망이 필요하다. 폭발 하중이 10개 요소의 길이에 걸쳐 발생한다고 가정한다. 이 10개 요소의 길이를 결정하려면 폭발 지속 시간에 소밀파 속도를 곱한다.

 

$$ L_{10el} = (3.88 \times 10^{-5} s)_{c_d} $$

 

10개 요소의 길이는 0.2m이다. 막대의 전체 길이는 1.0m이므로 길이 방향으로 50개의 요소를 제공한다. 요소망을 균일하게 하려면, 횡 방향으로 각각 10개의 요소를 주어, 50×10×10의 요소망을 작성한다. 이 요소망을 다음 그림에 나타낸다.

그림. 50×10×10 요소망

 

원하는 요소 크기가 0.02인 Seed를 전체 파트에 입력한다. Explicit 라이브러리에서 요소 종류로 C3D8R을 선택하고, 파트를 요소망으로 나눈다.

 

2) 해석

작업 Bar를 만들고 작업 설명에 Stress wave propagation in a bar(SI units)를 입력한다. 이 작업을 제출하고 결과를 관찰한다. 오류가 발생하면 모델을 수정하고, 해석을 다시 실행한다. 경고 메시지가 있으면 원인을 조사하고 적절히 조처한다. 앞에서 언급했듯이 일부 경고 메시지는 무시해도 괜찮지만 그렇지 않으면 수정 조치가 필요하다.

 

작업 진행 상황을 관찰하려면 상태 파일 Bar.sta를 볼 수도 있다. Job Monitor의 Status File 탭을 클릭하여 이 파일을 찾아보고 검색할 수 있다. 상태 파일은 관성 모멘트 정보를 출력한 다음 안정 한계 정보를 따른다. 가장 작은 안정 시간 한계를 갖는 10개의 요소가 순위별로 나열된다.

 

상태 파일에는 해석 진행 상황에 대한 정보가 계속 출력된다.

 

유사한 정보가 Visualization 모듈의 Job Diagnostics 대화 상자에 나타난다. 다음 그림과 같이 이 대화 상자에서 데이터의 시간 기록을 표시할 수 있다. 시간 기록 표시를 만들려면 Job History에서 단계를 선택하고 Incrementation 탭에서 열을 선택한 다음 Plot selected column을 클릭한다.

그림. 안정 시간 증분의 시간 기록

3) 후처리

모델 트리에서 작업 이름 Bar를 마우스 버튼 3으로 클릭하고 표시된 메뉴에서 Results를 선택하여 Visualization 모듈을 시작한다. 이때 이 작업에서 생성된 ODB 파일이 자동으로 열린다. 또는 Module 목록에서 Visualization 모듈을 시작한다. 기본 메뉴 막대에서 File → Open을 선택하고, 사용할 파일을 두 번 클릭하여 ODB 파일을 연다.

 

막대의 길이 방향을 따라 응력 분포가 시간에 따라 어떻게 변하는지 확인한다. 이를 위해 해석 과정에서 세 가지 다른 시간 동안 응력 분포를 살펴보자.

 

막대 축을 따라 세 번째 방향 응력(S33)의 변화를 나타내는 곡선을 ODB 파일의 처음 세 프레임에 대해 각각 만든다. 이 표시를 만들려면, 먼저 막대 축을 따라 직선 경로를 정의해야 한다.

 

막대의 중심을 따라 점 목록 경로를 만들려면 다음과 같이 설정한다.

 

1. 결과 트리에서 Paths를 두 번 클릭한다. Create Path 대화 상자가 나타난다.

 

2. 경로 이름을 Center로 지정한다. 경로 종류로 Point list를 선택하고 Continue를 클릭한다. Edit Point List Path 편집 대화 상자가 나타난다.

 

3. Point Coordinates 테이블에 바의 양쪽 끝에 중심 좌표를 입력한다. 이 입력은 모델의 글로벌 좌표계에 정의된 첫 번째 지점에서 두 번째 지점까지의 경로이다.

 

⊙ 앞의 절차를 사용하여 기하 형상과 요소망을 만들었다면 테이블 입력은 0, 0, 1과 0, 0, 0이다. 다른 절차를 사용하여 막대의 기하 형상을 만들면 Query 툴바의 도구를 사용하여 막대 가장자리의 중심 좌표를 결정할 수 있다.

 

4. 입력이 완료되면 OK를 클릭하여 Edit Point List Path 편집 대화 상자를 닫는다.

 

세 가지 다른 시간에 경로를 따라 응력 X-Y 표시를 저장하려면 다음과 같이 설정한다.

 

1. 결과 트리에서 XYData를 두 번 클릭한다. Create XY Data 대화 상자가 나타난다.

 

2. X-Y 데이터 소스에서 Path를 선택하고 Continue를 클릭한다. XY Data from Path 대화 상자가 나타나면 생성된 경로가 유효한 경로 목록에 표시된다. 원형 모델 모양이 표시되면 선택한 경로가 표시에서 강조 표시된다.

 

3. Point Locations 아래의 Include intersections를 선택한다.

 

4. 이 대화 상자의 X Values 영역에서 선택한 True distance를 그대로 사용한다.

 

5. 이 대화 상자의 Y Values 영역에서 Field Output을 클릭하여 Field Output 대화 상자를 연다.

 

6. S33 응력 성분을 선택하고 OK를 클릭한다.

 

XY Data from Path에서 경로 데이터 대화 상자의 필드 출력 변수가 변경되어 세 번째 방향의 응력 데이터(S33)가 생성됨을 나타낸다.

 

⊙ Abaqus/CAE는 필드 출력 변수가 현재 이미지에 표시되지 않음을 경고할 수 있다. 표시 상태를 As is로 설정하고 OK를 클릭하여 계속한다.

 

7. XY Data from Path 대화 상자의 Y Values 영역에서 Step/Frame을 클릭한다.

 

8. Step/Frame 대화 상자가 나타나면 프레임 1을 선택한다. 이것은 5개의 기록된 프레임 중 두 번째 프레임이다. (목록의 첫 번째 프레임인 프레임 0은 단계가 시작될 때 모델의 기준 상태이다) OK를 클릭한다. XY Data from Path에서 경로 값 대화 상자의 Y Values 영역이 변경되어 1단계의 프레임 1에서 데이터가 만들어진 것을 나타낸다.

 

9. X-Y 데이터를 저장하려면 Save As를 클릭한다. Save XY Data As 대화 상자가 나타난다.

 

10. X-Y 데이터의 이름을 S33_T1로 지정하고 OK를 클릭한다. S33_T1은 결과 트리의 XYData 컨테이너에 표시된다.

 

11. 7~9단계를 반복하여 프레임 2와 3에 대한 X-Y 데이터를 만든다. 이 데이터 세트의 이름은 각각 S33_T2과 S33_T3이다.

 

12. 경로에서 XY Data from Path 대화 상자를 닫고 Cancel을 클릭한다.

 

응력 곡선을 표시하려면 다음과 같이 설정한다.

 

1. XYData 컨테이너에서 커서를 드래그하여 세 개의 X-Y 데이터 세트를 모두 선택한다.

 

2. 마우스 버튼 3을 클릭하고 표시된 메뉴에서 Plot을 선택한다. 프레임 1, 2, 3에서 막대의 중심을 따라 세 번째 방향의 응력이 표시된다. 이 프레임은 약 5×10-5초, 1×10-4초, 1.5×10-4초의 해석 시간에 각각 해당한다.

 

3. 프롬프트에서 X을 클릭하여 현재 작업을 취소한다.

 

X–Y 표시를 사용자 정의하려면 다음과 같이 설정한다.

 

1. Y축을 두 번 클릭한다. Axis Options 대화 상자가 나타난다. Y Axis가 선택된다.

 

2. Scale 탭의 Tick Mode 영역에서 By increment를 선택하고 Y축의 주 눈금선이 20E3 Pa 간격으로 표시되도록 지정한다. 각 축의 제목도 사용자 정의할 수 있다.

 

3. Title 탭으로 전환한다.

 

4. Y축 제목에 Stress – S33 (Pa)을 입력한다.

 

5. X축을 편집하려면 대화 상자의 X Axis 필드에서 축 레이블을 선택한다. 대화 상자의 Title 탭에서 X 축 제목에 Distance along bar(m)을 입력한다.

 

6. Dismiss를 클릭하여 Axis Options 대화 상자를 닫는다.

 

X–Y 선도를 표시하는 방법을 사용자 정의하려면 다음과 같이 설정한다.

 

1. Visualization 도구 상자에서 아이콘을 클릭하여 Curve Options 대화 상자를 연다.

 

2. Curves 필드에서 S33_T2를 선택한다.

 

3. S33_T2 커브에 대해 점선 스타일을 선택한다. S33_T2 커브가 점선으로 표시된다.

 

4. 2단계와 3단계를 반복하여 S33_T3 커브를 점선으로 만든다.

 

5. Curve Options 대화 상자를 닫는다.

 

사용자 정의 표시는 다음 그림에 나와 있다(편의를 위해 기본 그리드와 범례의 위치가 변경되었다).

그림. 세 가지 다른 시간 Instance에서 막대를 따라 응력(S33) 분포

 

이 3개의 곡선 각각에서 응력파의 영향을 받는 막대의 길이는 약 0.2m임을 알 수 있다. 이 거리는 폭풍파가 적용 시간 동안 전달되는 거리와 일치해야 한다. 이것은 간단한 계산으로 확인할 수 있다. 파면의 길이가 0.2m이고, 파의 속도가 5.15×103m/s이면, 그 파가 0.2m 전해지는 데 걸리는 시간은 3.88×10-5초이다. 예상대로, 이것은 적용된 폭풍 하중의 지속 시간이다. 이 응력파는 막대의 축을 전달할 때 엄격한 4각형이 아니다. 특히, 응력이 급속히 변한 후에는 응력의 ‘링잉(ringing)’ 또는 진동이 발생한다. 선형 체적 점성은 이 링잉을 감쇠시켜 결과에 미치는 부정적인 영향을 방지한다.

 

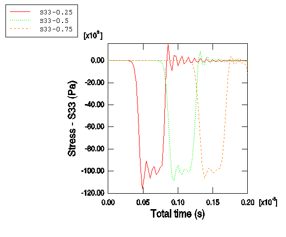
결과를 조사하는 또 다른 방법은 막대의 세 가지 다른 지점에서 응력의 시간 기록을 표시하는 것이다. 예를 들어, 막대의 하중 가장자리에서 0.25m, 0.50m, 0.75m 떨어진 위치에서 볼 수 있다. 이렇게 하려면 먼저 이 위치에 있는 요소의 이름을 식별해야 한다. 이를 쉽게 수행하는 방법은 막대 가장자리를 따라 요소로 구성된 표시 그룹(세트 OUT)에서 요소를 Query하는 것이다.

 

요소 레이블을 Query하려면 다음과 같이 설정한다.

 

1. 결과 트리에서 ODB 파일 Bar.odb 아래에 있는 Element Sets 컨테이너를 확장한다. 세트 OUT을 마우스 버튼 3으로 클릭하고, 표시된 메뉴에서 Replace를 선택한다.

 

2. 기본 메뉴 모음에서 Tools → Query를 선택하거나 Query 툴바의 ⓘ 도구를 사용한다.

 

3. 나타나는 Query 대화 상자에서 Element를 클릭한다.

 

4. 다음 그림의 파란색 색상 요소를 클릭한다(바를 따라 13번째 요소). 요소 ID(레이블)가 프롬프트 및 메시지 영역에 표시된다. 세 가지 주황색 요소에 요소 레이블을 기록한다.

그림. History plot 표시 그룹

 

응력의 시간 기록을 표시하려면 다음과 같이 설정한다.

 

1. 결과 트리에서 History Output을 마우스 버튼 3으로 클릭하고 표시된 메뉴에서 Group Children을 선택 취소한다.

 

2. 3개의 특정 요소(13번째 요소)에 대한 데이터를 선택한다. [Ctrl]+클릭을 사용하여 여러 X–Y 데이터 세트를 선택한다.

 

3. 마우스 버튼 3을 클릭하고, 표시된 메뉴에서 Plot을 선택한다. 각 요소의 세로 응력 대 시간 X-Y 표시가 표시된다.

 

4. 프롬프트에서 X를 클릭하여 현재 작업을 취소한다.

 

이전과 마찬가지로 표시하는 방법을 사용자 정의할 수 있다.

 

X–Y 표시를 사용자 정의하려면 다음과 같이 설정한다.

 

1. X축을 두 번 클릭한다. Axis Options 대화 상자가 나타난다.

 

2. Title 탭으로 전환한다.

 

3. X축 제목에 Total time (s)을 지정한다.

 

4. Dismiss를 클릭하여 대화 상자를 닫는다.

 

X–Y 선도를 표시하는 방법을 사용자 정의하려면 다음과 같이 설정한다.

 

1. Visualization 도구 상자에서 아이콘을 클릭하여 Curve Options 대화 상자를 연다.

 

2. Curves 필드에서 막대의 자유 가장자리에 가장 가까운 요소에 해당하는 임시 X-Y 데이터 이름을 선택한다(이 세트의 요소 중에서 이 요소는 먼저 응력파의 영향을 받는다).

 

3. 곡선 범례 텍스트에 S33-0.25를 입력한다.

 

4. Curves 필드에서 막대 중앙의 요소에 해당하는 임시 X-Y 데이터 이름을 선택한다. (이것은 다음으로 응력파의 영향을 받는 요소이다.)

 

5. 곡선 범례 텍스트에 S33-0.5를 지정하고 곡선 스타일을 점선으로 변경한다.

 

6. Curves 필드에서 막대의 고정 가장자리에 가장 가까운 요소에 해당하는 임시 X-Y 데이터 레이블을 선택한다(이것은 마지막으로 응력파의 영향을 받는 요소이다).

 

7. 곡선 범례 텍스트에 S33-0.75를 지정하고 곡선 스타일을 파선으로 변경한다.

 

8. Dismiss를 클릭하여 대화 상자를 닫는다.

그림. 막대 길이 방향의 세 지점(0.25m, 0.5m, 0.75m)에서 응력(S33)의 시간 기록

 

사용자 정의된 표시가 그림에 나와 있다(편의를 위해 기본 그리드와 범례의 위치가 변경되었다).

 

이 시간 기록 표시에서 각 지점에서 응력은 응력파가 그 지점을 통과할 때 증가하는 것을 알 수 있다. 응력파가 점을 완벽히 통과하면 점에서의 응력은 0을 중심으로 진동한다.

 

4) 요소망이 안정 시간 증분과 CPU 시간에 미치는 영향

‘자동 시간 증분 기능과 안정성’은 요소망의 미세한 정도가 안정 한계와 CPU 시간에 미치는 영향을 설명했다. 이 절은 파동 전파 문제에서 이 영향을 설명한다. 앞의 설명에서 길이 방향으로 50개의 요소를 가지며, 두 개의 가로 각각에 10개의 요소를 가진 잘 나눠진 6면체 요소의 요소망을 사용했다. 여기서 설명을 위해 25×5×5요소의 거친 요소망을 사용하고, 이 요소망을 다양한 방향으로 미세하게 나누면 CPU 시간이 무엇이 달라지는지 조사한다. 이 네 가지 요소망은 다음 그림과 같다.

그림. 거친 요소망에서 미세 요소망까지 다양한 요소망

 

다음 표는 이 문제의 CPU 시간(거친 요소망 모델의 결과로 정규화된 값)이 요소망의 세부 사항에 따라 무엇이 달라지는지 보여준다. 이 표의 전반부는 이 책에 제시된 단순 안정성 방정식을 바탕으로 예측한 결과이다. 테이블의 뒷부분은 워크스테이션의 Abaqus/Explicit에서 이 해석을 수행하여 얻은 결과이다.

 

표. 요소망의 미세 정도와 해석 시간

요소망 단순화된 이론값 실제 값
$ \Delta t_{stable} $ (s) 요소수 CPU 시간(s) 최대 $ \Delta t_{stable} $ (s) 요소수 정규화된
CPU 시간
25×5×5 A B C 5.754E-06 625 1
50×5×5 A/2 2B 4C 2.954E-06 1250 4
50×10×5 A/2 4B 8C 2.933E-06 2500 8.33
50×10×10 A/2 8B 16C 2.907E-06 5000 16.67

 

이론값의 결과에서 가장 거친 25×5×5 요소망을 기준 상태로 선택하고 안정 시간 증분, 요소 수와 CPU 시간을 각각 변수 A, B, C로 정의한다. 요소망을 세분화하면 최소 요소 치수가 감소하고, 요소망 요소 수가 증가한다. 이 효과는 각각 CPU 시간을 증가시킨다. 50×5×5 요소망에서 최소 요소 치수가 절반으로 감소하고, 요소 수가 2배가 되므로 CPU 시간은 원래 요소망의 4배로 증가한다. 하지만 요소망을 두 배로 나누어 50×10×5로 해도 최소 요소 치수는 변하지 않는다. 요소수가 2배가 될 뿐이다. 따라서 CPU 시간은 50×5×5 요소망의 두 배로 증가한다. 요소가 균일하고 50×10×10의 정사각형 요소망이 되도록 요소망을 나누면 요소 수와 CPU 시간이 다시 두 배가 된다.

 

이 단순 계산은 요소망 세분화가 안정 시간 증분과 CPU 시간에 미치는 영향의 경향을 매우 잘 예측한다. 하지만 안정 시간 증분의 예측값과 실제 값을 비교하지 않은 것은 몇 가지 이유가 있다. 첫째, 앞에서 설명한 것처럼 안정 시간 증분은 다음과 같이 계산한다.

$$ \Delta t_{stable} = {L^e \over c_d} $$ 

그리고 특성 요소 길이($ L^e $)는 최소 요소 치수라고 가정했다. 대조적으로 Abaqus/Explicit는 실제로 전체 요소의 크기와 모양을 바탕으로 특성 요소의 길이를 결정한다. 또한 문제를 복잡하게 만드는 요인으로 Abaqus/Explicit가 채택한 전반적인 안정 한계 추정이 있다. 이 추정은 더 큰 안정 시간 증분을 사용한다. 이런 요인이 있으므로 해석을 수행하기 전에 안정 시간 증분을 정확하게 예측하기는 어렵다. 그러나 추세는 단순 이론에 따른 것과 잘 일치하므로 안정 시간 증분이 요소망 세분화와 함께 어떻게 변하는지를 예측하는 것은 간단하다.

 

5) 재료가 안정 시간 증분과 CPU 시간에 미치는 영향

다른 재료에서 수행한 같은 파동의 전파 해석은 재료의 소밀파 속도에 따라 다른 CPU 시간이 걸린다. 예를 들어, 재료를 강철에서 알루미늄으로 바꾸면 소밀파 속도는 5.15×103m/s에서 다음으로 변경된다.

 

알루미늄에서 강철로 변하면 강성과 질량 밀도의 변화량이 거의 같으므로 안정 시간 증분에 미치는 영향은 적다. 납의 경우 이 차이가 더 크기 때문에 소밀파 속도는 다음으로 감소한다.

$$ c_d = \sqrt{E \over \rho} = \sqrt{14 \times 10^9 Pa \over 11240 kg/m^3} = 1.12 \times 10^3 m/s $$

이것은 강철 소밀파 속도의 약 1/5이다. 납의 안정 시간 증분은 강철 안정 시간 증분의 5배이다.

반응형
반응형

 

안정 한계는 Abaqus/Explicit에서 사용하는 최대 시간 증분을 결정한다. 이것은 Abaqus/Explicit의 실행 성능을 결정하는 중요한 요소이다. 다음 절에서 안정 한계를 설명하고, Abaqus/Explicit가 이 값을 결정하는 방법을 설명한다. 또한 안정 한계에 영향을 미치는 모델 설계 변수와 관련된 문제를 설명한다. 이 모델 변수는 모델 질량, 재료와 요소망이 있다.

 

1) 외연법의 조건 안정성

외연법에서 모델의 상태는 시간 증분($ \Delta t$)으로 진행하며, 시간 증분을 시작하는 시간($ t $)에 모델의 상태에 따라 다르다. 문제의 정확한 표현을 유지하면서 모델의 상태를 계속 진행할 수 있는 시간의 크기는 일반적으로 매우 작다. 시간 증분이 이 시간의 최댓값보다 큰 경우 증분은 안정 한계(Stability limit)를 초과하는 것으로 간주한다. 안정 한계를 초과하면 수치 불안정성이 발생할 수 있다. 이것은 보통 안정 한계를 정확하게 결정할 수 없으므로 보수적인 추정치를 대신 사용된다. 안정 한계는 해법의 신뢰성과 정확성에 큰 영향을 미치므로 일관된 방식으로 보수적으로 결정해야 한다. 계산 효율을 높이려면 Abaqus/Explicit는 안정 한계를 초과하지 않는 범위에서 가능한 한 그 값에 가까운 시간 증분을 선택한다.

 

2) 안정 한계의 정의

안정한계는구조의최고주파수($ \omega _{max}$)로정의한다.감쇠가없으면안정한계는다음식과같다.

 

$$ \Delta t_{stable} = {{2} \over {\omega_{max}}} $$

 

감쇠가 있으면 다음 식과 같다.

 

$$ \Delta t_{stable} = {2 \over \omega_{max}} \left( \sqrt {1 + \xi^2 }- \xi \right) $$

 

여기서, $ \xi $는 최고 주파수 모드에서 임계 감쇠비이다. 위에서 언급했듯이 임계 감쇠는 자유 감쇠 진동에서 진동과 비진동의 경계를 정의한다. Abaqus/Explicit는 항상 체적 점성 형태로 미량 감쇠를 도입하여 고주파 진동을 억제한다. 엔지니어링 직관에 반대일 수 있지만 감쇠는 항상 안정 한계를 줄인다.

 

구조의 실제 최고 주파수는 서로 영향을 미치는 복잡한 여러 요소에 따라 달라지며 정확한 값을 계산하는 것은 계산량을 고려할 때 실현할 수 없다. 또 다른 방법은 효율적이고 보수적인 간단한 추정을 사용하는 것이다. 전체 모델을 보는 대신 모델의 개별 요소의 최고 주파수를 평가한다. 이 값은 항상 소밀파 모드와 관련이 있다. 각 요소에서 얻은 최고 요소 주파수가 조립된 유한 요소 모델의 최고 주파수보다 항상 크다는 것을 증명할 수 있다.

 

요소별로 추정하는 방법에 기초하면, 안정 한계는 요소 길이($ L^e $)와 재료의 소밀파 속도($ c_d $)을 사용하여 재정의할 수 있다.

 

$$ \Delta t_{stable} = {L^e \over c_d} $$

 

대부분의 요소 종류(예: 왜곡된 4각형 요소)에서 요소 길이가 어떻게 결정되는지 명확하지 않으므로 위의 방정식은 실제 요소 당 안정 한계를 추정할 뿐이다. 근사적으로 요소의 최단 거리를 사용할 수 있지만 결과 추정은 항상 보수적이지 않다. 요소 길이가 짧아지면 안정 한계가 작아진다. 소밀파 속도는 재료의 특성이다. 푸아송의 비가 ‘0’인 선형 탄성 재료의 경우, $ c_d $ 는 다음과 같다.

 

$$ c_d = \sqrt{E \over \rho} $$

 

여기서, $ E $는 영율, $ \rho $는 질량 밀도이다. 재료가 단단해지면, 소밀파 속도는 커지므로 안정 한계는 작아진다. 밀도가 커지면, 소밀파 속도는 작아지므로 안정 한계는 커진다.

 

안정 한계의 정의를 단순화하면 어느 정도 직관적으로 이해할 수 있다. 안정 한계는 특성 요소 길이로 정의된 거리를 소밀파가 가로지르는 데 걸리는 시간이다. 최소 요소 치수의 크기와 재료의 소밀파 속도를 알면 안정 한계를 추정할 수 있다. 예를 들어, 최소 요소 치수가 5mm이고, 소밀파 속도가 5,000㎧라면 안정 시간 증분은 약 1×10-6초이다.

 

3) 완전 자동 시간 증분과 고정 시간 증분 기능

Abaqus/Explicit는 이전 절에서 설명한 방정식을 사용하여, 모델의 상태를 바탕으로 안정 한계를 초과하지 않도록 해석하는 동안 시간 증분 크기를 조정한다. 시간 증분 제어는 자동이므로 사용자의 개입이 필요 없으며, 초기 시간 증분도 필요하지 않다. 안정 한계는 수치 모델에서 얻은 수학 개념이다. 유한 요소 프로그램은 관련된 모든 세부 정보가 있으므로 효율적이고 보수적인 안정 한계를 결정할 수 있다. 그러나 Abaqus/Explicit는 필요에 따라 사용자가 자동 시간 증분 기능을 무시할 수 있다.

 

외연적 해석에 사용되는 시간 증분은 중앙 차분법의 안정 한계보다 작아야 한다. 이 조건을 충족시키는 작은 시간 증분을 사용하지 않으면 불안정한 해법이 된다. 해법이 불안정해지면 보통 변위와 같은 해석 변수의 시간 이력 응답은 진폭을 높이면서 진동한다. 전체 에너지 균형도 크게 달라진다. 해석 모델의 재료 종류가 하나만 있으면 초기 시간 증분은 요소망의 가장 작은 요소 크기에 직접 비례한다. 요소 크기가 균일하고 여러 재료를 포함하면 가장 높은 소밀파 속도가 되는 요소에 기초하여 초기 시간 증분이 결정된다.

 

대변형이나 비선형 재료 응답을 포함하는 비선형 문제는 모델의 최대 진동수가 계속 변하므로 안정 한계도 변한다. Abaqus/Explicit는 시간 증분을 제어하는 두 가지 방법이 있다. 이 방법은 완전 자동 시간 증분(여기서 프로그램이 안정 한계의 변화를 고려한다)과 고정 시간 증분이다.

 

이 증분 방법은 안정 한계를 결정하려고 요소 기반 요소와 전체 기반 예측의 두 가지 방법이 사용된다. 해석은 처음에는 항상 요소별 추정법을 사용하고, 특정 상황에 따라 전체 추정법으로 전환한다.

 

요소별 추정법은 보수적이다. 이 방법은 전체 모델의 최대 주파수를 바탕으로 실제 안정 한계보다 작은 안정 시간 증분을 제공한다. 일반적으로 경계 조건이나 운동학에 따른 접촉과 같은 구속은 고유치의 스펙트럼을 압축하는 효과가 있으며, 요소별 추정법은 이것을 고려하지 않는다.

 

적응형 전체 추정 알고리즘은 현재 소밀파의 속도를 사용하여 전체 모델의 최대 주파수를 결정한다. 이 알고리즘은 지속해서 최대 주파수 추정을 업데이트한다. 전체 기반 추정은 요소별 추정값보다 일반적으로 큰 시간 증분을 허용한다.

 

고정 시간 증분 방법도 Abaqus/Explicit에서 사용할 수 있다. 고정 시간 증분은 단계가 시작할 때 요소별 추정법으로 얻은 안정 시간 또는 사용자가 직접 지정한 시간 증분으로 결정한다. 고정 시간 증분은 문제의 높은 모드 응답을 더 정확하게 표현해야 할 때 유용하다. 이 경우 시간 증분의 크기는 요소별 추정치보다 작은 값을 사용한다. 고정 시간 증분을 사용하면 Abaqus/Explicit는 단계에서 계산된 응답이 안정적인지 확인하지 않는다. 따라서 에너지 이력과 기타 변수의 응답을 신중하게 관찰하여 유효한 응답을 얻었는지 확인해야 한다.

 

4) 시간 증분을 제어하는 질량 스케일링

질량 밀도는 안정 한계에 영향을 미치므로 특정 상황에서 질량 밀도를 스케일링하면 해석 효율을 높일 수 있다. 예를 들어, 많은 모델은 이산화가 복잡해지므로 영역에 포함된 매우 작은 요소와 모양이 나쁜 요소가 가끔 안정 한계를 결정한다. 이런 제어 요소는 거의 없으며, 가끔 일부 영역에 존재한다. 이런 제어 요소의 질량을 늘리면 안정 한계를 크게 늘릴 수 있으며 모델의 전반적인 동적 거동에 미치는 영향은 무시할 수 있다.

 

Abaqus/Explicit의 자동 질량 스케일링 기능은 문제가 되는 요소가 안정 한계를 방해하지 않도록 할 수 있다. 질량 스케일링은 계수는 두 가지 기본 방법을 사용한다. 직접 정의하는 방법과 질량을 스케일링하는 요소에서 요소별 안정 시간 증분을 정의하는 것이다. 이 두 가지 방법은 안정 한계에 대한 추가 사용자 제어를 제공한다. 그러나 모델의 질량을 크게 변경하면 문제의 물리적 현상도 달라지므로 질량 스케일링을 사용할 때는 주의가 필요하다.

 

5) 안정 한계에 대한 재료의 영향

재료 모델은 소밀파의 속도에 미치는 영향 때문에 안정 한계에 영향을 미친다. 선형 재료에서 소밀파 속도는 일정하다. 따라서 해석 중 안정 한계의 유일한 변화는 해석 중 최소 요소 치수의 변화 때문에 발생한다. 소성을 포함하는 재료와 같은 비선형 재료에서 재료가 항복하고, 재료의 강성이 변하면 소밀파 속도가 변한다. Abaqus/Explicit는 해석하는 동안 모델의 소밀파 유효 속도를 관찰하고, 현재 각 요소의 재료 상태를 사용하여 안정 한계를 추정한다. 항복이 발생하면 강성이 떨어지고, 소밀파의 속도가 감소하므로 안정 한계가 증가한다.

 

6) 안정 한계에 대한 요소망의 영향

안정 한계는 가장 짧은 요소 치수에 대략 비례하므로 요소 크기를 가능한 한 크게 유지하는 게 편리하다. 그러나 대부분 정밀하게 해석하려면 미세한 요소망이 필요하다. 필요한 수준의 요소망 분할을 유지하면서 가능한 한 큰 안정 한계를 얻으려면 가능한 한 균일한 요소망을 정의하는 것이 가장 좋다. 안정 한계는 모델의 최소 요소 치수에 기반하므로 하나의 작은 요소와 모양이 심하게 왜곡되는 요소만 있으면 안정 한계를 크게 줄일 수 있다. 진단을 위해 Abaqus/Explicit는 요소망에서 최소 안정 한계를 갖는 10개의 요소 목록을 상태 파일(.sta)에 출력한다. 안정 한계가 요소망의 다른 부분보다 훨씬 작은 요소가 모델에 포함되면 모델을 더 균일하게 요소망을 나누는 것이 좋다.

 

7) 수치 불안정성

Abaqus/Explicit는 대부분 상황에서 대부분의 요소가 안정적이다. 그러나 해석이 수행되는 동안 스프링 요소와 대시 포트 요소를 불안정하게 정의할 수 있다. 따라서 해석에 수치 불안정성이 발생하면 이를 인식할 수 있는 것이 유용하다. 수치 불안정성이 발생하면 일반적으로 해석 결과는 한계가 없으며 비물리적이 되어 해가 진동하는 특징이 있다.

반응형
반응형

 

이 절은 Abaqus/Explicit의 알고리즘에 대한 설명을 내연적 시간 적분과 외연적 시간 적분을 비교하고, 외연적 동적 해법의 이점을 설명한다.

 

1) 외연적 시간 적분

Abaqus/Explicit는 중앙 차분법을 사용하여 운동 방정식을 외연적으로 시간 적분한다. 따라서 현재 증분의 운동학 조건을 사용하여 다음 증분의 운동학 조건을 계산한다. 증분이 시작할 때, 이 프로그램은 동적 평형 해결책을 찾는다. 이것은 절점 질량 행렬($ M $)에 절점 가속도($ \ddot{u} $)를 곱한 값이 주어진 외력($ P $)과 요소의 내력($ I $)의 차이와 같다는 것을 의미한다.

 

$$ M \ddot{u} = P - I $$

 

현재 증가(시간 $ t $) 시작 시의 가속도는 다음과 같이 계산된다.

 

$$ \ddot {u}  \left |_{(t)} = \left ( M \right )^{-1} \bullet \left ( P - I \right ) \right |_{(t)} $$

 

외연적 절차는 항상 대각선(집중) 질량 행렬을 사용하므로 가속도 계산에 걸리는 시간이 적으며 연립 방정식의 해를 구할 필요가 없다. 절점의 가속도는 절점의 질량과 절점에 작용하는 순 힘으로부터 완벽히 계산하므로 절점의 계산량은 매우 적다.

 

이 가속도는 중앙 차분법을 사용하여 시간 적분한다. 이것은 가속도가 일정하다고 가정하여 속도 변화량을 계산한다. 이 속도의 변화량은 직전 증분의 중앙에서 속도에 가산되어, 현재 증분의 중앙에서 속도를 구한다. 이 속도는 시간 적분하고, 증분이 시작할 때 변위에 더해지고 증분의 끝에서 변위를 결정한다. 따라서 증분이 시작할 때 동적 평형을 만족하면 가속도를 얻을 수 있다.

 

가속도, 속도, 변위는 시간 방향으로 ‘외연적(explicitly)’으로 진행되는 것을 알 수 있다. ‘외연적’이라는 용어는 증분의 끝에 있는 상태가 다음 증분의 시작 부분에서 변위, 속도 및 가속도에 근거한다는 사실을 의미한다.

 

이 방법은 일정한 가속도를 정확하게 적분한다. 이 방법으로 정밀한 결과를 얻으려면 증분 내에서 가속도가 거의 일정하도록 시간 증분을 상당히 줄여야 한다. 시간 증분을 줄여야 하므로 해석에서는 보통 수천 개의 증분이 필요하다. 다행히 연립 방정식을 풀 필요가 없으므로 각 증가율은 계산량이 적다. 계산량 대부분은 각 절점에 작용하는 요소의 내력을 결정하는 요소 계산 때문이다. 이 요소 계산은 요소 변형을 결정하고, 재료의 구성 관계(요소 강성)를 적용하여 요소 응력과 그에 따른 내력을 구하는 것이 포함된다.

 

2) 내연적 시간 적분 절차와 외연적 시간 적분 절차의 비교

내연적 시간 적분과 외연적 시간 적분 절차에서 평형은 주어진 외력($ P $), 요소의 내력( $ I $ ), 절점 가속도로 정의한다.


$$ M \ddot{u} = P - I $$

 

여기서 은 질량 행렬이다. 두 절차 모두 절점 가속도의 해를 구하고, 같은 요소 계산을 사용하여 요소의 내력을 결정한다. 이 두 절차 사이의 가장 큰 차이점은 절점 가속도를 계산하는 방법이다. 내연적 절차에서 연립 선형 방정식의 해는 직접 해법으로 결정된다. 계산량이 상당히 적은 외연적 방법의 절점 계산과 비교하면, 이 연립 방정식을 풀기 위한 계산량은 상당히 많다.

 

Abaqus/Standard는 전체 뉴턴 반복 해법을 바탕으로 자동 시간 증분 기능을 사용한다. 뉴턴 해법은 시간이 지나면서 증분이 끝날 때 동적 평형을 만족하고 그때의 변위를 계산하려고 시도한다. 내연적 해법은 무조건 안정이므로 시간 증분은 외연적 방법으로 사용되는 시간 증분과 비교하여 상당히 크다. 보통 비선형 문제는 각 증분에서 지정된 허용 범위 안에서 해를 얻으려면 여러 번 반복해야 한다. 각 뉴턴 반복 해법은 변위 증가에 대한 보정량을 찾는다. 각 반복에서 연립 방정식의 해를 구해야 한다.

 

$$ {\hat { K}}_{j} c_{j} = P_{j} - I_{j} - M_{j} { \ddot{u}}_{j} $$

 

이것은 모델이 커지면 계산량이 상당히 많아지는 작업이다. 유효 강성 행렬( ${\hat { K}}_{j} $)은 반복에서 접선 강성 행렬과 질량 행렬의 선형 결합이다. 이런 반복은 잔류 힘, 변위 보정량과 같은 여러 양이 지정된 허용 범위 안에 있을 때까지 계속된다. 매끄러운 비선형 응답의 경우 뉴턴 해법은 다음과 같이 2차 속도로 수렴한다.

반복 상대 오차
1 1
2 10-2
3 10-4
. .
. .
. .

 

그러나 모델에 접촉이나 마찰 미끄럼과 같은 불연속성이 강한 과정이 포함되면, 2차 수렴성을 손실할 수 있으며, 많은 반복이 필요할 수 있다. 또한 평형 조건을 만족시키려면 시간 증분 크기의 컷백이 필요할 수 있다. 극단적인 경우, 내연적 해석에 사용되는 시간 증분 크기는 외연적 해석의 보통 안정 시간 증분과 같을 수도 있지만 내연법의 반복에 필요한 계산량은 여전히 많을 수 있다. 어떤 때는 내연법을 사용하여 수렴하지 못할 수 있다.

 

내연적 해석의 각 반복은 대규모 연립 선형 방정식을 풀어야 하며, 이는 상당한 계산량, 디스크 공간과 메모리 용량이 필요한 작업이다. 대규모 문제에서 이런 방정식 계산 요구 사항은 요소 계산과 재료 계산 요구 사항을 초과한다. 이것은 Abaqus/Explicit의 해석도 마찬가지이다. 문제의 크기가 증가하면 방정식 계산 요구 사항이 급속히 증가하므로 주어진 컴퓨터에서 계산할 수 있는 내연적 해석의 최대 크기는 현실적으로 필요한 계산 시간이 아니라 컴퓨터에서 사용할 수 있는 디스크 공간과 메모리 용량에 따라 다르다.

 

3) 외연적 시간 적분법의 장점

외연법은 고정밀 해를 얻기 위해 다수의 작은 증분이 필요한 고속 동적 현상을 해결하는 데 특히 적합하다. 현상의 지속 시간이 짧으면 해를 효율적으로 얻을 수 있다.

 

접촉 조건과 같은 불연속성이 강한 현상은 외연적 방법으로 쉽게 공식화되며, 반복을 사용하지 않는 절점 기반 방법으로 제공할 수 있다. 접촉 중에 외력과 내력이 균형을 이루도록 절점 가속도가 조정된다.

외연법으로 가장 눈에 띄는 특징은 내연법에 필요한 전체 접선 강성 행렬이 존재하지 않는다는 것이다. 모델의 상태는 외연적으로 진행되므로 반복과 허용치가 필요 없다.

반응형
반응형

 

이전 장은 외연적 동적 절차의 기본을 설명했다. 이 장은 더 자세히 설명한다. 외연적 동적 절차는 폭넓은 비선형 고체 역학 문제와 구조 역학 문제를 해결하는 효과적인 도구이다. 외연법과 내연법은 서로 보완 관계이다. 사용자 측면에서 다음과 같은 특징으로 외연법과 내연법을 명확하게 나눌 수 있다.

 

외연법은 모델의 최고 고유 주파수에 의존하며, 하중 종류와 지속 시간과 무관한 작은 시간 증분 크기가 필요하다. 해석은 보통 10,000~1,000,000개의 증분이 필요하지만, 증분 당 계산량은 비교적 적다.

 

내연법은 시간 증분 크기에 본질적인 제한이 없다. 시간 증분 크기는 보통 정밀도와 수렴성을 고려하여 결정한다. 내연법을 사용한 해석은 보통 외연법을 사용한 해석보다 몇 자릿수 더 적은 증분이 사용된다. 그러나 전체 연립 방정식을 각 증분으로 풀어야 하므로 내연법의 증분 당 계산량은 외연법보다 훨씬 크다.

 

이 두 절차의 특징을 아는 것은 어떤 방법이 자신의 문제에 적합한지 결정하는 데 도움이 된다.

 

외연적 동적 절차가 어떻게 작동하는지 설명하기 전에, Abaqus/Explicit에 어떤 문제가 적합한지 이해하는 것이 중요하다. 이 책은 보통 Abaqus/Explicit로 해석하는 문제와 관련된 예제를 사용한다.

 

외연적 해법은 원래 내연적 해법을 사용하여 해석할 때 계산량이 너무 많아지는 고속 동적 현상을 해석하려고 개발하였다. 이런 문제의 예로 강판에 작용하는 단시간 폭풍 하중의 영향을 해석할 것이다. 이 하중은 급속하게 주어지며 매우 치열하므로 구조 응답이 급속히 변한다. 동적 응답을 찾으려면 강판을 통과하는 응력파를 정확하게 추적하는 것이 중요하다. 응력파는 구조의 최고 주파수와 관련이 있으므로 정확한 해를 얻으려면 많은 작은 시간 증분이 필요하다.

 

접촉 조건은 외연적 해석이 내연적 해석보다 쉽게 공식화된다. 따라서 Abaqus/Explicit는 여러 개의 물체 사이의 복잡한 접촉 상호 작용을 포함하는 문제를 쉽게 해석할 수 있다. Abaqus/Explicit는 충격 하중을 받고 구조물에서 복잡한 접촉 상호 작용이 발생하는 구조물의 동적 과도 응답을 해석하는 데 특히 적합하다. 이런 문제의 예로서 회로 기판의 낙하 시험을 설명할 것이다. 이 예제는 발포 포장재에 들어있는 회로 기판이 높이 1m에서 바닥으로 떨어진다. 이 문제로 포장재와 바닥 사이에 충돌이 발생하여 회로 기판과 포장재 사이의 접촉 상태가 빠르게 변한다.

 

불안정한 후좌굴(後挫屈) 문제는 Abaqus/Explicit에서 쉽게 해결할 수 있다. 이 문제에 하중이 작용하면 구조물의 강성이 급격히 변한다. 가끔 후좌굴 반응에는 접촉 상호 작용의 효과가 포함된다.

 

여러 가지 이유로 Abaqus/Explicit는 본질적으로 특정 종류의 정적 문제를 해결할 때 매우 효율적이다. 일반적으로 단조, 압연, 성형 등의 복잡한 접촉을 포함하는 준정역학 과정을 해석하는 문제가 이런 종류에 포함된다. 보통 판 성형 문제는 매우 큰 막 변형, 주름, 복잡한 마찰 접촉 조건을 포함한다. Bulk 성형 문제는 큰 왜곡, 플래시 형성, 다이와의 접촉 상호 작용이 특징이다.

 

재료의 변질(變質, Degradation)과 파괴는 내연적 해석에서 심각한 수렴 문제를 일으킨다. 반면 Abaqus/Explicit는 이런 재료를 성공적으로 해석할 수 있다. 재료 변질의 예는 콘크리트의 균열 발생이 있다. 재료 파괴의 예는 금속 연성 파괴 모델이 있다. 이 모델은 재료 강성이 감소하여 ‘0’이 될 수 있다. 강성이 ‘0’이 되면 파괴된 요소는 모델에서 완벽히 제거된다.

반응형
반응형

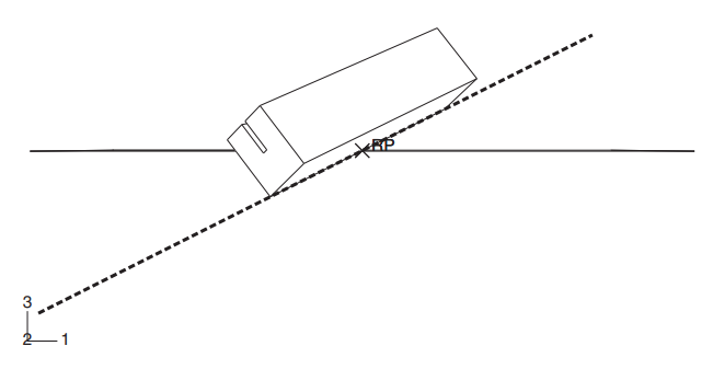
1) 전처리

다음으로 같은 하중을 순간적으로 주었을 때 러그의 동적 응답을 평가한다. 특히 주목하는 것은 러그의 과도 응답이다. 모델은 Abaqus/Explicit 해석용으로 수정해야 한다. 계속하기 전에 기존 모델을 Explicit이라는 새 모델에 복사한다. 모든 후속 변경은 Explicit 모델에서 수행한다. 혼란을 피하려면 Elastic 모델을 접을 수 있다. 작업을 실행하기 전에 밀도 정의를 재료 모델에 추가하고, 단계 종류를 변경하고, 요소 종류를 변경해야 한다. 또한 필드 출력 요청을 수정해야 한다. 모델을 수정하려면 다음과 같이 설정한다.

 

1. Steel의 재료 정의를 편집하고 7800의 질량 밀도를 추가한다.

 

2. 정적 단계 LugLoad를 동적 explicit 단계로 바꾼다. 단계 설명으로 Dynamic lug loading을 입력하고 단계 시간 폭에 0.005초를 입력한다.

 

3. 필드 출력 요청 F-Output-1를 편집한다. Edit Field Output Request 대화 상자에서 출력을 저장할 등분 시간 간격 수에 125를 입력한다.

 

4. 기본 기록 출력 요청을 그대로 사용한다.

 

5. 러그의 요소망 분할에 사용되는 요소 종류를 변경한다. Element Type 대화 상자에서 Explicit 요소 라이브러리, 3D Stress와 Linear 형상 차수를 선택한다. 또한, Hex 형상으로, 강화형 Hourglass 제어를 선택한다. 선택된 요소 타입은 C3D8R이다.

 

2) 해석

1. 모델 Explicit을 사용하여 작업 expLug를 작성하고 제출한다.

 

2. 작업 진행 상황을 관찰한다.

 

expLug Monitor 대화 상자의 맨 위에 해석 진행 상황을 표시한다. 이 표시는 해석을 진행하면서 지속해서 업데이트한다. 해석하면서 발생한 오류와 경고는 해당 탭에 표시된다. 오류가 발생하면 모델을 수정하고 해석을 다시 실행한다. 경고 메시지가 있으면 원인을 조사하고 적절히 조처한다. 앞에서 언급했듯이 일부 경고 메시지는 무시해도 괜찮지만 그렇지 않으면 수정 조치가 필요하다.

 

 

3) 후처리

Abaqus/Standard에서 수행한 정역학 해석은 러그 변형, 응력과 변위 출력을 조사했다. Abaqus/Explicit 해석에서 러그 변형, 응력과 변위를 조사할 수 있다. 또한, 순간적으로 작용하는 하중 때문에 과도적인 동적 효과가 발생할 수 있으므로 내부 에너지와 운동 에너지, 변위, Mises 응력의 시간 이력도 조사할 필요가 있다. 이 작업으로 생성된 ODB 파일을 연다.

 

메뉴에서 Plot → Deformed Shape를 선택하거나 도구 상자의 도구를 사용한다. 그림은 해석이 끝날 때 변형 모양을 보여준다. 앞서 언급했듯이 Abaqus/Explicit에서 기본적으로 대변형 이론이 가정된다. 따라서 변형 배율은 자동으로 1로 설정된다. 변위가 너무 작아 보이지 않으면 스케일링을 사용하여 응답을 쉽게 찾을 수 있다.

 

러그 진동을 더 쉽게 볼 수 있도록 변형 배율을 50으로 변경한다. 또한 러그 변형의 시간 기록을 애니메이션화하고 시간 기록 애니메이션의 프레임 속도를 줄인다.

 

러그 변형의 시각 기록 애니메이션은 순간적으로 주어진 하중이 러그에 진동을 일으키는 것을 보여준다. 이런 종류의 하중에서 러그의 거동에 대한 추가 고려 사항은 러그의 운동 에너지, 내부 에너지, 변위와 응력을 시간의 함수로 표시해서 얻을 수 있다.

 

몇 가지 고려 사항은 다음과 같다.

 

1. 에너지가 저장되어 있습니까?

2. 이 해석에 대변형 이론이 필요했는가?

3. 피크 응력은 타당한가? 재료는 항복하는가?

 

X-Y 표시는 변수의 변화를 시간의 함수로 표시할 수 있다. X-Y 표시는 필드 출력과 이력 출력에서 수행할 수 있다.

외연적 해석의 변형 모델 모양(음영)

내부와 운동 에너지를 시간의 함수로 X-Y 표시하려면 다음과 같이 설정한다.

 

1. 결과 트리에서 expLugODB라는 출력 데이터베이스 아래에 있는 History Output 컨테이너를 확장한다.

 

2. 출력 데이터베이스의 이력 영역에 있는 모든 변수의 목록이 표시된다. 표시할 수 있는 이력 출력 변수는 이들뿐이다. 사용할 수 있는 출력 변수 목록에서 ALLIE를 두 번 클릭하여 전체 모델의 내부 에너지를 표시한다.

ODB 파일에서 이 곡선의 데이터를 읽고 그림 4.38과 같은 그래프를 표시한다.

 

3. 이 작업을 반복하여 전체 모델의 운동 에너지 ALLKE를 표시한다(그림 참고).

 

내부 에너지와 운동 에너지 모두 러그의 진동을 반영한 진동을 나타낸다. 전체 해석을 통해 운동 에너지는 내부(변형) 에너지로 변환되고 내부 에너지는 운동 에너지로 변환된다. 재료가 선형 탄성이기 때문에 총에너지가 보존된다. 이것은 시스템의 모든 에너지인 ETOTAL을 ALLIE과 ALLKE와 함께 표시하여 확인할 수 있다. ETOTAL의 값은 해석 실행 중 전체 동안 거의 ‘0’으로 유지된다.

전체 모델의 내부 에너지
전체 모델의 운동 에너지

러그의 구멍 아래에서 절점 변위를 조사하고 이 해석에서 기하학적 비선형성의 효과의 중요성을 평가한다. 변위 vs. 시간을 표시하려면 다음과 같이 설정한다.

 

1. 러그 변형을 표시한다. 결과 트리에서 XY Data를 두 번 클릭한다.

 

2. Create XY Data 대화 상자가 나타나면 ODB field output을 소스로 선택하고 Continue를 클릭한다.

 

3. XY Data from ODB Field Output 대화 상자가 나타나면 X-Y 데이터를 읽을 위치의 종류로 Unique Nodal을 선택한다.

 

4. U: Spatial displacement 옆의 화살표를 클릭하여 X-Y 데이터의 변위 변수로 U2를 켠다.

 

5. Elements/Nodes 탭을 선택한다. X-Y 데이터를 검색할 절점을 식별하는 선택 방법으로 Pick from viewport를 선택한다.

 

6. Edit Selection을 클릭한다. 뷰포트에서 아래 그림과 같이 구멍 아래에 있는 절점 중 하나를 선택한다(필요한 경우 선택하기 쉽다.)(예: 렌더링 스타일 변경). 프롬프트에서 Done을 클릭한다.

구멍 아래에서 선택된 절점

7. XY Data from ODB Field Output 대화 상자에서 Plot을 클릭하여 절점 변위를 시간 함수로 표시한다.

 

다음 그림과 같이 이 진동 이력은 변위가(구조물의 치수에 비해) 작다는 것을 보여준다.

구멍 아래쪽의 절점 변위

따라서 이 문제는 미소 변형 이론을 사용해도 충분히 풀 수 있다. 미소 변형 이론을 사용하면 해석 결과는 거의 변하지 않고, 이 해석의 계산량은 감소한다.

 

연결용 러그의 응력의 시간 이력도 조사한다. 러그의 고정단 부근의 영역은 피크 응력의 발생이 예측되고 재료가 항복할 수 있으므로 특히 주목한다. Mises 응력 vs. 시간을 표시하려면 다음과 같이 설정한다.

 

1. 러그의 변형을 다시 표시한다.

 

2. XY Data from ODB Field Output 대화 상자에서 Variables 탭을 선택한다. X-Y 데이터 표시 변수에서 U2의 선택을 취소한다.

 

3. Position 필드를 Integration Point로 변경한다.

 

4. S: Stress components 옆의 화살표를 클릭하여 X-Y 데이터의 응력 변수로 Mises를 켠다.

 

5. Elements/Nodes 탭을 선택한다. X-Y 데이터를 검색할 요소를 식별하는 선택 방법으로 Pick from viewport를 선택한다.

 

6. Edit Selection을 클릭한다. 뷰포트에서 다음 그림과 같이 러그의 고정 가장자리 근처의 요소 중 하나를 선택한다. 프롬프트에서 Done을 클릭한다.

러그의 고정 끝 근처에서 선택된 요소

7. XY Data from ODB Field Output 대화 상자에서 Plot을 클릭하여 선택한 요소의 Mises 응력을 시간 함수로 표시한다.

 

다음 그림과 같이 피크 Mises 응력은 약 550MPa이다. 이 값은 강철의 일반적인 항복 응력보다 크다. 따라서 이 물체는 큰 응력 상태가 발생하기 전에 항복한다.

러그의 고정단 부근의 Mises 응력

반응형

+ Recent posts